Science and Religion
by Elsa M. Glover
To all who search for truth
About the Author
Elsa M. Glover graduated from the University of Rochester with a bachelor of science degree in physics and went on to study at Purdue University. She graduated from Purdue with both a master's degree and a Ph.D. in physics, and was a professor of physics at Stillman College. Ms. Glover has also studied scientific astrology and Christian mysticism for many years. The author has written and lectured widely on such subjects as science and religion, astro-diagnosis and Aquarian conflict resolution.
By considering the many aspects of knowing, author Elsa M. Glover expands our knowledge of the various ways of perceiving, as her broad erudition, profound thought, and poetic vision have combined to form a holistic view of creation.
In Science and Religion, a broad view is taken of a concise array of phenomena still clothed in the uniqueness of their happening. The author looks wonderingly on all creation and awakens our sense of awe by bringing us into the living presence of either a caterpillar or a constellation. Her all-inclusive knowledge moves from experimental science to religion, and she is equally at home with both, as to her the great chain of being seems to resemble Jacob's Ladder.
Here is a book that offers new information about both science and psychic phenomena. Written in a crisp and lively style, this scholarly work will be of great interest to the serious reader.
I. Perception and Consciousness of Spatial Dimensions »
II. The Roles of Science and Religion in the Search for Truth »
III. Mass, Energy, and Spirit »
IV. The Uncertainty Principle »
V. Wisdom in the Universe »
VI. Body Organization »
VII. Machines versus People »
VIII. Aging »
IX. Evolution »
X. Animal Behavior »
XI. Personality »
XII. Birth Defects »
XIII. Flesh Foods »
XIV. Alcohol »
XV. Communication »
XVI. Wisdom Is a Loving Spirit »
XVII. Human Values »
XVIII. Gravity »
XIX. Weather »
XX. Miracles »
XXI. Increasing Power »
I. Perception and
Consciousness of
Spatial Dimensions
Have you ever contemplated how the world appears to animals? What does a snail think happened if it suddenly comes to the end of the leaf upon which it has been crawling? What does an eagle think happened if it sees a mouse run into a hole in the ground? What does a dog think causes the change in the appearance of a car as the car approaches, passes, and then recedes? Such exercises in understanding can be valuable not only because they may help develop sympathy and hence love for animals (and love for all creatures is worthwhile), but also because the relation of an animal to a human may be in some ways similar to the relation of a human to beings with superhuman abilities (such as
Christ) so that such contemplations can aid our understanding of the super-human beings.
Material scientists observe that the one-celled animal called the ameoba has no eyes. Its perception of its environment is limited mainly to feeling objects that it comes in contact with. Annelida (worms) are able to react to changes in light intensity, and starfish have eye-spots on the tips of their arms, which can respond to different illumination on different tips, but have no arrangement for the formation of images. Insect eyes can perceive light and dark, direction and motion, and in some cases size, but cannot focus on objects of varying distances (although different parts of the eye may be suited to seeing things near or far). The focusing ability is improved in cephalapods (octopuses), fish, and amphibians with the development of the ability to change the distance of the lens from the retina, which enables the eye to focus images on the retina of objects at varying distances. The focusing ability is further refined in snakes and higher vertebrates with the development of the ability to change the shape of the lens in order to accommodate for objects at different distances. With improved focusing ability comes improved ability to make visual distinctions. Although flies and earthworms show no ability to distinguish size, butterflies, cockroaches, turtles, chicks , rats, and monkeys can distinguish areas of different sizes. Bees, wasps, butterflies, turtles, birds, chicks dogs, raccoons, and monkeys have demonstrated ability to distinguish different flat shapes.
In birds, mammals, and humans, the optic nerves partially cross on the way to the brain so that each retina sends nerve fibers to both hemispheres of the brains. Thus the visual fields of the two eyes combine. The two slightly
different views of the two eyes together give the appearance of solidity to objects viewed. In some mammals the eyes are placed so far to the sides of the head that the field over which both eyes can see the same object is very small. Even in the animals in which appropriate nerve and eye structure exists for stereoscopic vision, the ability to use this structure may be limited.
Birds can distinguish flat forms but do not show recognition of different vessels. Mice and rats exhibit difficulty in judging the distances of platforms (in order to choose the closest platform, or to jump to platforms at varying distances). In humans, however, the ability to clearly view the various objects in a scene and to perceive their distances is well developed.
Because the amoeba is aware only of itself and things that come in contact with it, we may say that its perception of space is essentially the perception of a single point, which is zero-dimensional perception. The transition from
one state of perception to another is gradual so that some intermediate forms may neither be clearly in one state nor the next. The annelida and starfish have some characteristics of a zero-dimensional perception (in their inability to perceive anything unless it comes in contact with their body), but some slight consciousness along a line may be developing as simultaneous awareness of separate points within their body is developed. Insects that have developed the ability to perceive direction (but not size or shape) have perception along a line, which is one-dimensional. They can see something outside themselves and can decide to move toward or away from it. Those insects that demonstrate size and form recognition have the beginning of perception of a surface, which is a two-dimensional perception. This two-dimensional perception is further developed and refined in fish, amphibians, reptiles, birds,
and mammals. Birds and mammals, which have the capability of stereoscopic vision but still have difficulty distinguishing solid forms, are in a transition from a two-dimensional to a three-dimensional perception. Humans have the ability to perceive things of varying shapes and distances. They can simultaneously perceive length, width, and height, and thus have three-dimensional perception.
A creature that is capable of forming only
n-dimensional mental images would not be able to function successfully in a body with n+1 or higher dimensional perception, as signals would reach the mind that the mind could not process. If a zero-dimensional consciousness inhabited a human body, it would not be able to mentally conceive of a foot and a hand at the same time, and when separate signals came from the two organs, they would merge into one in the mind and no distinction would be made in the signals. Creatures that are capable of forming n-dimensional mental images would find it advantageous to have a body with no less than n-dimensional perceptual abilities, and thus
in time such bodies would be built. Thus, generally, the dimensionality of the perceptual abilities is equal to the dimensionality of the images that the mind is able to deal with and thence is equal to the dimensionality of the consciousness (with some exceptions occurring in transitional stages).
To a creature with zero-dimensional consciousness, the world consists of nothing but the one point of which it is conscious. Anything that enters that point seemingly comes out of nowhere, and when it leaves, it seems to cease to exist. If such a creature were to move along the surface of, say, a leaf, it would become conscious of one point after another on the leaf. The points it had left would, for it, be past. The points it had not yet reached would, for it, be the future. But we, with our ability to view the whole leaf, could see both the past and the future of the zero-dimensional coonsciousness at a glance.
To a creature with one-dimensional consciousness, the world is one-dimensional. Nothing exists for it except what lies along the line that it is conscious of. If anything enters this line, it appears to come into existence
to the one-dimensional consciousness. If anything leaves this line, it appears to go out of existence. If such a creature moves its line of view, say, by turning its head, it will see in a number of directions in succession. Its path of perception would trace a line around the landscape (as a line drawn across a photograph). Again we, with our higher-dimensional vision, would be able to view all at once what the one-dimensional consciousness would consider
past and future.
To a creature with two-dimensional consciousness, the world appears two-dimensional, as a photograph. Such a creature conceives only a plane of existence. If it views a house and sees someone open the door of the house and come out, to its consciousness, that person appeared out of nowhere. If it walks around a house, to it, the house appears to continuously change its shape and features, although we, with our higher-dimensional consciousness, view the house as having constant shape.
The zero-dimensional consciousness views the world as being zero-dimensional, but that does not make the world zero-dimensional. The one-dimensional consciousness views the world as being one-dimensional, but that does not make the world one-dimensional. The two-dimensional consciousness perceives the world as being two-dimensional, but that does not make the world two-dimensional. To us, with our three-dimensional consciousness, the world appears to be three-dimensional, but that does not exclude the possibility of the existence of higher dimensions.
Note that when we, with our three-dimensional consciousness, view the world of a lower dimensional consciousness, we can make things appear out of "nowhere" or disappear in their world, and we can see their past and future all at once. Throughout history there have been certain people who have exhibited these types of abilities in relation to our three-dimensional consciousness. They have demonstrated the ability to cause things to appear or disappear, to describe what happened in past events at which they were not present, and to foretell the future (so they are called prophets). Christ was able to bring bread and fishes into existence when there were many people who needed food (Matthew 14:13-21), and to disappear from a crowd without being seen (Luke 4:28-30, John 8:59). He was able to tell the whole past history of people whom he met for the first time (John 1:43-51, John 4:7-19), and he repeatedly exhibited that he knew what experiences he and his disciples would encounter before they encountered them (Matthew 17:24-27, Matthew 20:18-19, Matthew 26:20-25, Matthew 26:31-35, Luke 5:1-11). It is reasonable to relate the consciousness of Christ and the other prophets of four-dimensional consciousness.
Paul, in his Letter to the Ephesians (3:14-18), wrote, "I bow my knees to the Father...that Christ may dwell in your hearts by faith; that ye, being rooted and grounded in love, may be able to comprehend with all the saints what is breadth, and length, and depth, and height." Paul included four dimensions here, and implied that not only the saints could comprehend these, but that we also will be able to comprehend them when Christ dwells in our hearts and we become rooted and grounded in love.
References
— Abbott, Edwin A., Flatland. (PDF) New York, Dover Publications, 1952
— Ouspensky, P.D., Tertium Organum, Rochester, N.Y., Manas Press, 1920
— Washburn, Margaret F., The Animal Mind, New York, Macmillan, 1926
II. The Roles of Science
and Religion in the Search
for Truth
Man possesses sense organs with which he can make observations of the physical world. After making many observations, he begins to see patterns in what he observes. He sees that water runs downhill, that heavenly bodies run in certain paths, that electricity passing through a wire can produce heat and sometimes light, etc. Then he develops "laws, " which are statements of observed patterns. He also develops theories, which aim to explain why things happen as they do. These theories often involve things that are not perceivable, but that are accepted as true if the associated explanations are reasonable. No one has ever seen gravity (or a "gravitational field," as the scientists would say), but we "explain" that the reason that water runs downhill and that objects near the earth fall when they are unsupported is that gravity pulls on them. No one has ever seen an electron, but the heating effects of an electric current can be explained by saying that electric current is composed of moving electrons and that the moving electrons have kinetic energy (another invisible thing) and that when the electrons collide with atoms in the wire, their kinetic energy turns into heat energy. Thus, because electrons help provide an explanation for the heating effects of electric currents and other phenomena, electrons become part of the theory and are believed in.
This process of observing the material world and making laws and theories is called "material science." Material science has limitations. It is based on physical sense perceptions and inferences from these. But there are some things that cannot be physically perceived or inferred. Religion is needed to complete the picture. Some individuals are clairvoyant, that is, they are able to perceive superphysical worlds. They have observed these worlds and their operations and have developed and written down the laws that pertain to the superphysical worlds. Those who cannot yet make these observations for themselves can only know about the superphysical worlds if they are willing to accept the statements of the clairvoyants on faith. Material science is aware of physical cause-effect relations, but cannot detect the guiding Spiritual Influences that control what happens on Earth. Clairvoyants say that acts of nature (volcanoes, earthquakes, lightning, and weather systems) are all purposeful actions of the divine hierarchies. Clairvoyants say that even we ourselves are guided, so that whatever we encounter in life was designed to be something that we needed to learn to deal with in order to further our evolution. Material science has noted that if body A pushes on body B, then body B pushes back on body A with an equal and opposite force, but material science cannot make statements about reactions that lie beyond directly observable pushes. Clairvoyants say that when person A influences person B at the emotional, mental, or spiritual level, this influence returns to and will later be felt by A.
In time, each person will develop his own clairvoyant powers. What is now known through religion will then become part of science. Until that time, however, religion and science will complement one another. Both are needed for a complete picture of Truth..
References
— Heindel, Max, The Rosicrucian Cosmo-Conception. Oceanside, California, The Rosicrucian Fellowship, 1973
— Steiner, Rudolf, Knowledge of the Higher Worlds and Its Attainment, New York, Anthroposophic Press, 1947
— Steiner, Rudolf, Manifestations of Karma, London: Rudolf Steiner Press, 1969
III. Mass, Energy, and Spirit
Mass is a property of matter that makes it difficult to accelerate the matter. Newton's Second Law states that the acceleration of an object is equal to the net force acting on that object divided by the mass of the object. This can be written as —
— where "m" is the mass of an object, "F" is the net force acting on the object, and "a" is the acceleration of the object. From this equation it can be seen that when a given force acts on a body, the more mass the body has, the less acceleration will be produced. Because a truck has more mass than a car, a truck is not able to go from rest to full speed as quickly as a car, nor can a moving truck stop as quickly as a car. Mass also influences gravitational pull (weight). The more mass an object has, the more strongly will it be pulled by gravity at any given location, that is, the more weight it will have at that location. Because a truck has more mass than a car, it is more difficult to lift a truck (pushing against gravity) than to lift a car.
Material scientists generally accept the reality of anything that has mass. If they can see it, feel a resistance when they push it, and weigh it, then they are willing to believe it exists.
Suppose we take a block of ice. The ice has mass and force is needed to accelerate or lift it. Suppose we place the ice in a dish and heat it. In
time the ice will melt. If we continue heating, it will vaporize and disappear from the dish. In fact, all massive objects can be turned into vapor if enough heat is applied, and thus can be made to disappear. The material scientist has learned to stretch his imagination to accept the
occasional disappearance of part of what he considers real. He notes that even when matter vaporizes and disappears, it can be re-condensed and thus made to reappear. An interesting thing about this process is that the total mass of the system remains constant even through the invisible part of the process. If one kilogram of ice is vaporized, and if all the vapor is collected and recrystallized, the resulting block of ice will again have a mass of one kilogram. Because the vapor carries the property of mass without loss, credence is given to the idea that the vapor, even though invisible, is just as real as the solid from which it was produced.
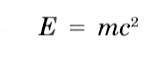
With the arrival of the twentieth century, the imagination of material scientists was stretched on step further. In 1905, Albert Einstein theorized that mass and energy should be interconvertible according to the equation —
— where "E" is the amount of energy needed to produce a mass "m," and c=2.998 X 10(to the 8th power) m/s. Alternately, "E" is the amount of energy that can be produced from a mass "m". Einstein's mass-energy equation has been experimentally verified both in nuclear reactions and in elementary particle reactions. It is observed that mass can be created out of electromagnetic radiation in what are called "pair production" events. If sufficiently energetic electromagnetic radiation (which is massless) passes near a heavy nucleus, an electron and an anti-electron (both of which have mass) can be produced. The presence of the nucleus is needed in order to absorb some of the momentum of the reaction. In a similar manner, a proton and anti-proton, or a neutron and an anti-neutron, or any other particle and corresponding anti-particle can be produced. Some have theorized that this is the manner in which all matter was originally created. Inversely, when a particle and an anti-particle encounter one another, they disappear and only massless electromagnetic radiation remains.
In the pair annihilation processes, not only does mass become invisible, but also mass ceases to exist. it is interesting to note, however, that even when the mass ceases to exist, the total mass plus energy divided by c squared remains constant. If one kilogram of mass were converted into pure (massless) energy in the form of electromagnetic radiation, and if all this radiation were caught and given appropriate conditions, it would be theoretically possible to again produce from it one kilogram of mass. (A
number of difficulties would occur if anyone were to actually try to do this.) The fact that the electromagnetic radiation carries the property of mass-energy without loss gives credence to the idea that electromagnetic radiation, even though it does not have mass and cannot be pushed, pulled, or weighed, is just as real as massive particles.
Radiation does have energy. A system is said to possess energy if it has the ability to bring about changes in itself or other things. Electromagnetic waves are known to have energy because they can produce electric currents (as radio and TV waves do when they encounter antennas), they can heat objects (as do rays from the sun and microwaves), they can cause chemical reactions (as do rays from the sun when they hit leaves of plants or human skin), etc. Thus the ability to do things has become
accepted as a part of reality by material scientists.
The clairvoyant, when he investigates these matters, agrees with the conclusions of the material scientist and also can give some added insights. Whereas the material scientist could only infer the reality of vapor and electromagnetic waves, the clairvoyant can directly see vapor and electromagnetic waves and thus confirm their reality. Vapor is classed by the clairvoyant as belonging to the Chemical Region of the Physical World, along with solids and liquids. Electromagnetic waves and the other force fields that act on the particles of the Chemical Region are in the Etheric Region of the Physical World. In addition, the clairvoyant can see and work in even finer states of matter as he raises his consciousness to what are called the Desire World and the World of Thought. These higher worlds* are just as real to the clairvoyant as solid objects are to the material scientist. [The Desire World and the World of Thought are said to be "higher" than the Physical World because the matter in them vibrates at a higher rate than does physical matter (just as the atoms in gases vibrate at a higher rate than the atoms in liquids, which in turn vibrate at a higher rate than do atoms in solids.) Spatially, the Physical World, Desire World, and World of Thought interpenetrate one another (as do solids, liquids, and gases in the Physical World).] The clairvoyant, Max Heindel, states that matter (both in the Physical World and in higher worlds) in crystallized spirit, and energy (in all the worlds) is the same spirit not yet crystallized. Matter and energy are recognized by clairvoyants to be part of the one reality, spirit.
IV. The Uncertainty Principle
In 1820, Pierre Simon Laplace claimed that if he knew the position and velocity of every particle in the universe, he could in principle predict all the future positions of all particles and hence all future events. Subsequent to Laplace, throughout the nineteenth century, various other material scientists echoed this opinion. Their belief was supported by their observations. Given the initial position and velocity of a thrown ball, they could predict where it would land. Given the initial position and velocity of the sun and planets, they could predict where each would be at a later time. Even electrically charged objects appeared to obey inexorable laws, so that given their initial positions and velocities, their future positions could be predicted. Laplace's belief led people to take the view that the world operated totally according to laws, that what would happen was predetermined, and that men had no control over either their own future or the future of the world.
With the approach of the twentieth century, scientists began to observe some things that began to shake their confidence in their ability (in
principle) to predict all future events. In the photoelectric effect experiment (1887), the Franck-Hertz experiment (1914), the Compton effect experiment (1922) and the electron diffraction experiment (1927), electrons and light waves were not behaving the way the classical theory predicted. The conclusions that were, in time, drawn by material scientists were:
1) Light moves through space as a wave (which spreads out over some region of space), but when light interacts with anything, localized particles (called photons) appear within the wave. Where a photon will appear within a light wave cannot be predicted, although statements can be made as to the relative probability of the photon appearing in any given region.
2) An electron moves through space as a wave, but when the electron interacts with anything, a localized particle appears within the electron wave. As with the photons, only probability statements can be made as to where within the electron-wave the electron-particle will appear.
3) Likewise, other elementary particles (such as protons and neutrons) move through space as waves and interact as particles.
Out of the wave-particle picture of light and matter grew the Uncertainty Principle, first introduced by Werner Heisenberg in 1927. Let
"delta x" represent the width of a wave. Then the uncertainty in where the particle may appear will also be "delta x". One may locate where a particle will appear by arranging things so that the particle wave is very narrow. What Heisenberg noticed was that the narrower the wave became, the greater would be the uncertainty in the velocity that the wave could give to the
particle that it created. In algebraic form, Heisenberg's Uncertainty Principle states that —
— where "delta v" is the uncertainty in the velocity of the particle, "delta x" is the uncertainty in the position of the particle, "m" is the mass of the particle, and h=6.626 x 10 to the minus 34th power Js. Thus, physical scientists arrived at the conclusion that is is impossible to know precisely both the position and the velocity of a particle. If we cannot know precisely the initial position and velocity of the particles in the universe, and if particles (when they are not interacting) can disappear (turn into waves) and reappear in some unpredictable place, then Laplace's belief that all future events can (in principle) be predicted is no longer tenable.
Material scientists ascribe the appearance of particles in one place or another to "chance" because they are only able to make probability predictions. Albert Einstein, however, stated in 1947, "I shall never believe that God plays dice with the world." What appears as chance to material scientists does not appear as chance to clairvoyants, who can see higher powers at work. Clairvoyants see many intelligent forces at work in the world. Each person has a Spirit (sometimes called an Ego) that can direct the dense physical body to do as it wills. Animals and plants also have Egos, although their Egos have lesser abilities to direct their dense physical bodies than do the Egos of men. There are also angels who help direct processes of reproduction and growth, and archangels who help direct migrations and construction of habitations and other instinctual activities of animals, and the formation of customs, beliefs, and group activities of nations of peoples. There are Recording Angels who direct the experiences that people encounter in life in such a way that everyone receives exactly what he needs for his development.
In Truth there can be no contradictions. Insofar as material science is true, and insofar as religion is true, the two can live side by side in
harmony with one another. The development of the Uncertainty Principle by material science brought science one step closer to the Truth, and made room in scientific theory for the interaction of Spirit with matter, which religion claims occurs.
V. Wisdom In
The Universe
In Proverbs 3:19 it is written, "The Lord by wisdom founded the earth; by understanding he established the heavens." Material scientists have made many observations of what is in the universe and how things function. Do these observations give evidence of wisdom? To answer this question, we must have some means of recognizing wisdom when we see it. One way of recognizing whether wisdom is in the current universe is to compare it with (imagined) alternative possible universes, and see whether the actual universe or the alternatives function better.
In the current universe, two of the basic particles from which matter is constructed are the proton and the electron. These particles are observed to be attracted to one another by what is called an electrical force. What would the universe be like if there were no forces between particles? All the particles in the universe would fly around randomly and no forms could be built. If one is have a meaningful physical creation, one must be able to stick particles together into various forms. Thus, the existence of electrical forces is wise.
In the current universe, the electrical force is not able to hold two protons together, but there is another force, called the nuclear force, which is able to hold protons together. What would the universe be like if protons could not bond together? Then the only element in the universe would be hydrogen (which consists of one proton orbited by one electron). If there was only one element in the universe, the possibility of creating complex structures with varying properties would be limited. Thus, the material world is a better world because of the existence of the nuclear force.
When some protons bond themselves together and attract electrons into orbit around themselves, the result is called an atom. All atoms with the same number of protons are called by the same element name. For example, all
atoms with six protons are called carbon atoms, all atoms with twenty-six protons are called iron, all atoms with seventy-nine protons are called gold, etc. It is observed that in the current universe the motions of the electrons around the protons are governed by what are called "quantum-mechanical waves." These permit the electrons to go into only certain orbits around the protons. What would the world by like if these waves did not govern the motions of the electrons? First of all, no two atoms of an element would have the same chemical properties. One gold atom would have its electrons arranged differently from another gold atom, so each atom would have different properties. Furthermore, the atoms would be able to change their properties continuously. Every time one atom collided with another atom, the electrons in the atoms would get knocked into different orbits and the atoms would change their properties. Atoms that formed a solid one minute might turn into a liquid or gas the next, or might change
from a brittle solid to an elastic solid, or from a non-flammable substance to a flammable substance, etc. Such instability in the world would not be conducive to the building of useful physical forms. Thus quantum-mechanical waves for the governing of electron motions fulfill a useful purpose and exhibit wisdom.
When two or more atoms join together, the result is called a molecule. From molecules, the various plant, animal, and human bodies are constructed. Humans obtain the materials for their bodies by eating plants. It is observed the human bodies are not built from chewed-up chunks of fruits and vegetables. If they were, the possible body structures would be quite limited. Can you imagine trying to build arteries and veins and capillaries out of little chunks of celery, perhaps held together with honey and flour?
It is wise that the human body is able to break down food into its component parts and then rebuild new molecules that will serve its purposes.
Any molecule can be broken down if heated sufficiently. But if the human body were to try to break down food particles by heat, then all the
molecules in the region of the heat would be broken down. This would not be wise, because while food needs to be broken down, other molecules need to be preserved or built from the food particles. The actual means by which the body breaks down food and builds needed molecules avoids the above problems.
Within the body are molecules that are called enzymes. There are many different kinds of enzymes. For each type of molecule that needs to be
broken down, there is a specific enzyme that can take hold of and break only that type of molecule, and none other. Also, for each small molecule that needs to be constructed, there is an enzyme that is able to take hold of the specific components needed, ignoring all other substances present, and pull those components together until they bond. Thus, the body specifically breaks down certain molecules that it cannot use and builds others that it can use.
Enzymes are able to pull together a few components to create a small molecule. The average-sized protein molecule needed in the human body contains a chain of some 400 amino acids, all arranged in a specific
pattern. The job of putting such a molecule together is too large a job for enzymes. There are within the body certain molecules (called DNA molecules), which have, in coded form, the patterns according to which the various proteins of the body need to be put together. There are certain other molecules (called m-RNA, t-RNA, and ribosomes) that work together to pull the appropriate amino acids into the sequence specified by the DNA. Thus the human body can obtain for itself the types of molecules that it needs. Nor do these molecules that construct other molecules just set to work and continuously manufacture proteins (in a healthy body). There are other sets of molecules (called regulator, repressor, and operator genes) that are able to sense whether a particular protein is needed and to stimulate production if it is needed and to repress production if it is not needed. It is efficient (and therefore wise) for the body not to waste its energies on producing things that it does not need.
When we begin to look at the structure of the various organs and systems within the human body, we see further evidence of wisdom. The body, by means of the blood, is able to carry oxygen and food nutrients to all cells in the body and to carry waste products away from the cells. Without the blood circulation, the cells would be like a stove that is not supplied with new fuel or air, and from which the ashes are not removed. It would soon burn out.
Not only does the physical body have all the features needed to function in the physical world, but also it has many features that maximize its functioning ability. The bones are composed of compact material near the surface and a meshwork of porous material inside, which gives strength without much weight. The lungs (with their alveoli), the intestines (with their villi), and the circulatory systems (with its capillaries) have branches that maximize surface areas, which increases the efficiency of absorption of materials from these surfaces. The nose is so constructed that it is able to warm and filter dust from the air breathed, so that the lungs are not stressed. The eyelids of the eyes are able to shut when particles approach that could hurt the eye or when light in the eye is not desired. The skin is able to sweat when the body is overheated, so that evaporating moisture will cool the body. The capillaries in the circulatory system have the feature that they can open and close as needed, so that when a certain part of the body open and bring added blood. This permits the body to operate with less blood than would be needed if all the capillaries had to be supplied with blood all the time. The vocal cords, together with the tongue and lips, permit not only sounds, but controlled sounds (words) to be made. Additionally, the body has many "spare" parts, so that it can continue to function even if certain parts are injured. The body can continue to live and function effectively even if it loses half of the brain, one kidney, one lung, three-quarters of the liver, and up to eighty percent of the small intestine.
As we proceed in our examination of the universe, let us turn our attention to the Earth and the Sun. The Sun shines on the Earth and supplies it with energy. Without the sunshine, all water would freeze, no wind would blow, no plants could grow, and animals and humans could not live. The method of production of energy in the sun is by nuclear reactions, which convert mass into energy. This is such an efficient method of energy production that the sun can radiate energy at approximately the same rate as
it does now for a period of around ten billion years. Thus life on Earth has enough time to develop and evolve complex life forms. By comparison, if the sun produced its energy by means of chemical reactions (as occur in ordinary coal or gas fires), the sun with its present mass would not be able to continue its current output of energy for more than about 1,400 years. Thus,
the nuclear method of energy production is much wiser.
The placement and motions of the Earth also show wisdom. The Earth is at the appropriate distance from the Sun (not too far and not too near) and has the appropriate rotational and revolutional motions to provide the present life forms with appropriate measures of the sun's radiations to foster life and evolution. The atmosphere of the Earth contains the oxygen needed by animals and humans for breathing. If all forms of life breathed in oxygen and breathed out carbon dioxide (as do animals and humans), the oxygen supply would soon run out. Plants, however, take in carbon dioxide and give off oxygen and thus help maintain a stable situation. If gravity were the only force that acted on water, all the water would run into the oceans and plants and animals on land would die. Water is, however, able to evaporate from the oceans. Winds, energized by the sunshine, then carry the water vapor over the land where it condenses and falls as rain. Thus the plants get the water that they need, and rivers and streams supply animals and humans with fresh water. All these processes work together to produce a stable environment for the development of life on Earth over long periods of time. Considering the slow nature of evolution of the beings involved, this
is wise.
In time, all forms "die" and dissolve. This is also wise. Plant, animal, and human bodies, although they exhibit wisdom in their structure, are not yet perfect. It is therefore good for the spirits inhabiting these forms, after they have gained all the experience they can from one form, to leave that form and then build another better form. Even suns burn out and solar systems dissolve in time. There comes a time when the solar system has lived out its uselfulness and must dissolve so it can be rebuilt in a more perfect
manner.
We humans work along with the other creative hierarchies in designing and building and improving the universe. it is well for us to recognize what in the creation is wise so that when we make changes, we do not change that which is already good, and thus make things worse instead of better.
Material scientists have observed regulatory and organizing qualities in the bodies of living creatures. As the botanist, Edmund W. Sinnott, has noted (chapter 2 in Creativity and Its Cultivation):
"Living things are organisms. An organism is, first of all, an organized system of structures and activities. It is not a sprawling mass of semi-
independent parts and processes but is held together under a coordinating control...Food enters it and is built into it...As tissues wear out, matter leaves the organism again...It does not change the living system, however, for by a series of regulatory processes the organism maintains itself...
"Each organism has...its special cycle of progressive and creative development. Continual change is the keynote of this cycle; not unguided change but change that moves toward a very definite end — the mature
individual and the completion of the cycle...The normal course of development toward a particular end can be blocked and altered in various ways,... (but) the organism shows a persistent tendency to achieve the end unimpeded...
"The growing shoot-tip from a plant, cut off and put into water or moist sand, will regenerate its lost root system. Various organs of animals (if
lost) will be restored — crab claws, appendages of amphibian larvae, tails of worms, eyes of snails, etc..."
In the same book, chapter 3, the architect Alden B. Dow remarks that the more varied the building blocks available for making something, the more varied can be the structure of that thing. he notes that in nature there are many varieties of atoms and molecules and that there are therefore myriads of possible ways of combining these. He concludes: "For this reason I am not surprised at the creativeness or individuality found in natural structures. I am amazed, however, that with all this creative ability nature is willing to conform just enough to produce a thing we can recognize as a common
daisy. If the building blocks are similar, I can see how there would be a common kind of character among individual forms. For example, a house built of bricks is a brick house, and a house built of wood is a wood house. This, no doubt, is what we call genetics, but it does not account for the similarity of the forms of all daisies."
The material scientists are puzzled. What gives organization to the organism? What directs the development and healing of the organism? What makes organisms of a particular type conform to a recognizable pattern,
although variations can occur within the general pattern? Clairvoyants can see the guiding forces that direct these phenomena, and thus can give answers to these questions.
Clairvoyants note that first a distinction needs to be made between body and spirit. The spirit is as separate and distinct from its form as the carpenter is apart from and personally independent of the house he builds for his own occupancy. It is Spirit that molds forms into an expression of itself.
Spirit builds bodies with wisdom and purpose and forethought. It mentally conceives the various functions it wishes a body to be able to
perform, and then creates various structures within the body that are capable of carrying out these functions. Thus, bodies are not the result of chance combining of atoms, but rather are the result of careful planning. This is why we see organization in organisms.
Dense physical bodies are able to grow toward a specific form and to heal themselves if their forms are damaged because the spirit has created a matrix of etheric force fields (called a vital body), which directs the placement of the dense particles brought into the dense body (as food). If one takes a board and makes indentations in it and then rolls marbles across the board, the marbles will settle in the indentations. Likewise, atoms fit themselves into the force points in the vital body. During growth, the points in the vital body are in a process of being filled with atoms. If some tissue wears out or some dense organ is removed, and if the vital body is uninjured, the organ will grow again as that region of the matrix again becomes filled. Thus, the vital body enables the organism to develop toward a predetermined form and to heal itself.
The reason for similarities in forms is that many forms can be created from one mental pattern. Once the creative spirits mentally created a basic daisy pattern, this same basic pattern was used in the creation of all daisies. Likewise for each other species of plant and animal. Initially, one basic pattern was created for human form. In time, modifications were made in this pattern, so that there became separate basic patterns for each race and nation. Humans have now reached the stage in their evolution where they are able individually to do creative work. Thus human spirits have begun to individually modify the structures of their bodies, so that each is becoming recognizably different from every other.
Everywhere in nature we can see, if we look for it, evidence of wisdom, order, and relations between parts, and progressions toward goals. Tennyson was filled with these wonders of nature when he wrote,
Flower in the crannied wall,
I pluck you out of the crannies,
I hold you here, root and all, in my hand,
Little flower — but if I could understand
What you are, root and all, and all in all,
I should know what God and man is.
Reference
— Anderson, Harold H., ed., Creativity and Its Cultivation, New York: Harper, 1959
VII. Machines Versus People
We are in a high technology age in which machines have been developed that can see (cameras); hear (tape recorders); speak (tape players); plant,
cultivate, water, and harvest food; assist in many manufacturing processes; move on the ground (cars) and in the air (airplanes); and carry out logical processes (computers). These accomplishments have led many to ask whether machines can be constructed that can do everything that humans can do, and many researchers have been working with the aim of developing machines that can rival a human. These attempts, although they have resulted in machines with quite amazing abilities, have also encountered profound problems. Hubert L. Dreyfus, in his book "What Computers Can't Do," has made an extensive study of the limitations of computers (and thence also of computer-controlled machines). He notes that the main areas in which computers are unable to compete with humans are 1) seeing purpose and acting with purpose, 2) seeing a whole picture and making all parts fit in with the whole, 3) filling in unseen or unspecified details based on a sense of the whole, 4) deciding what is relevant and ignoring irrelevancies, 5) seeing similarities among situations.
Clairvoyants can give added information as to why machines cannot do certain things that humans can do. Clairvoyants can see that humans have, in addition to their dense physical body, a vital body, a desire body, a concrete mind, a Human Spirit, a Life Spirit, and a Divine Spirit. Machines do not have these higher bodies and spirits, and man, in his present state of evolution, does not yet have the ability to endow machines with these bodies and spirits. Thence, machines will not be able to exhibit the characteristics that result from these bodies and spirits functioning through the dense body. The action of the vital body in the dense physical body enables the dense physical body to assimilate food, excrete whatever substances are not needed, grow heal, and reproduce itself. The vital body also stores a record of not only everything that a person does, but also stores the effects that these actions have had on other people. These effects will, in time, be felt by the person who initiated the actions, and thus people are held accountable for their actions and develop a feeling of responsibility. The action of the desire body in the dense and vital bodies permits feelings of love and hate, sympathy and antipathy, purpose and devotion. The action of the mind enables one to create an image of a whole situation in which all the parts are related. The mind can also operate intuitively (picking up ideas and meanings that have not been explicitly stated) and creatively.
The Human Spirit (which operates in the region of abstract thought) can give direction as to what rules of action should be used under what circumstances. For example, the "rules" of action that one uses in the workplace may be quite different from the "rules" of action one uses at a party. What is appropriate in one place may not be appropriate in the other place. (Computer robots generally have to be set up to operate under a very specific and limited set of conditions, and cannot operate outside the conditions for which they were constructed.)
The Life Spirit provides an intuitive feeling of what is right and what is wrong, and of what is good and what is bad, and what is valuable and what is useless. The wisdom stored in the Life Spirit is the extracted essence of the experiences of many lifetimes on earth. The Divine Spirit gives the ability to say "I will" and to act self-consciously and with initiative.
When they read the plan for the future evolution of mankind, clairvoyants tell us that in the Jupiter Period, men will develop the ability to give vital bodies to the machines that they create. In the Venus Period, men will develop the ability to also give a desire body to the machines that they create. In the Vulcan Period, men will develop the ability to add a mind to the machines that they create. Then the current dreams of creating living, feeling, and thinking bodies will be fulfilled. The spirits that inhabit these bodies will not, however, be created by man. They already exist and will simply be using the bodies as habitations in which to work and evolve.
The main pitfall of people in a technological age does not lie in the creating of super machines. The intellectual exercise is good for people's minds, and the machines can take over tasks that would be quite boring for humans to do. The main pitfall lies in seeing the machines take over (some) human tasks and inferring that humans are nothing more than machines, and then proceeding to treat humans as one would treat a machine. We must strive always to keep in mind the fact that humans are sparks of God, and are deserving of our respect and even wonder. All humans, however intellectually and spiritually blind they appear at present, have infinite potential, and will through the evolutionary process some day become as all-loving and all-wise and as creative as the Christ.
Reference
— Dreyfus, Hubert L., What Computers Can't Do, New York, Harper and Row, 1979
Material scientists have observed that human bodies, in time, go through a process of aging. The body becomes clogged with earthy deposits. Cells in the various organs (heart, kidneys, brain, etc.) break down so that the capacity of the organs to function diminishes. The artery walls become inelastic and thicken, which makes it more difficult for blood to flow. The bones tend to lose strength.
Material scientists have studied means of slowing the aging process. To slow down the clogging of the body with mineral deposits, one can use foods and drinks that contain little earthy material, such as distilled water, milk, fresh vegetables and fruits. One also needs to maintain good elimination, so earthy matter taken in can be eliminated as readily as possible. In slowing down the cellular breakdown process, pantothenic acid, vitamin C, and vitamin E are important. Pantothenic acid is found in brewer's
yeast, potatoes, peas, brown rice, sunflower seeds, and whole wheat. Vitamin C is found in all fresh fruits and vegetables. Vitamin E is found in whole grains, leafy green vegetables, nuts, beans, and peas. Also other B vitamins, selenium, and the amino acids cysteine, methionine, and ornithin aid in preventing cell breakdown. Unsaturated fats (because they contain free radicals) may promote cell breakdown. To slow down the hardening and thickening of the artery walls, one needs to avoid taking in too much cholesterol and fat. To do this, one should limit one's intake of milk fat, meat fat, egg yolks, coconut oil, coca, margarine, and oils. Skim milk may
be used in place of whole milk. Grains, nuts, and legumes may be used in place of flesh foods. Exercise also helps keep cholesterol levels low.
To keep the bones from losing strength, one needs exercise, and appropriate amounts of vitamin C and calcium. Good sources of calcium are
milk, soybeans, leafy green vegetables, sesame seeds, almonds, and sunflower seeds. Vitamin D (in eggs, milk, sprouted seeds, mushrooms, sunflower seeds, and sunshine) and the amino acid lysine aid calcium absorption.
Material science can only give suggestions for slowing the aging process. It still cannot stop the aging process. We still find ourselves in the situation noted by Henry Wadsworth Longfellow when he wrote,
Art is long, and Time is fleeting,
And our hearts, though stout and brave,
Still, like muffled drums, are beating
Funeral marches to the grave.
Material scientists have noted that not only human bodies undergo aging, but also animal and plant bodies age and eventually die. The Earth ages as its deposits oc coal, oil, gas, and minerals are mined and used, and as its mountains wear down and are carried by running water into the sea, and as its interior gradually cools. The sun ages as it radiates heat and light into space. To replenish the heat and light lost, it steadily burns nuclear fuel in its interior. Each day, our sun burns 10 to the 13th power of its 10 to the 27th power tons of fuel in its center. The fuel supply is limited. Eventually, after about 10 billion years from the time when it started burning fuel (about 5 billion years from now), the sun will exhaust its nuclear fuel. Then it will ultimately cool and cease to shine.
Material scientists have, in fact, observed that all irreversible processes in the universe lead to the aging of the universe. This is summarized in what is called the Second Law of Thermodynamics, which states that, "In every irreversible process, the entropy of the universe increases." Entropy is a technical term that has a somewhat complicated mathematical definition, but roughly, entropy is a measure of the physical disorder in the universe. When a sheet of paper is torn into bits, the torn paper is more disordered than the whole sheet. The Second Law notes that we may start with a whole sheet and tear it up, but we cannot start with a torn sheet and put it back together again unless something else sacrifices its order to accomplish the process. If a human being expends energy in putting the paper back together, the increase in order of the paper will be less than the decrease in order caused by the consumption of plants (and sometimes animals) in order to have the energy to put the paper together. Thus the disorder of the universe increases and the universe has aged.
Clairvoyants can give added insight into the process of aging. They see that while earthly activities of humans cause aging of the dense body, they also cause growth of the human soul. The record of earthly activities is stored in the vital body. This record contains both what we did and what effects our actions had on others. In time, the spirit reviews these records either voluntarily during life in the exercise of retrospection, or automatically after death. (The exercise of retrospection involves reviewing the events of each day after retiring for the night before falling asleep. The events are reviewed in reverse order from that in which they occurred so that effects are seen first, then the causes are seen afterward. As the events are reviewed, one is supposed to try to feel what effects one's actions have had on other people, and to evaluate whether one's actions were right or wrong.) When the record is reviewed, the actions are noted and their effects are felt, and the spirit extracts from the total experience conclusions about what is right and wrong, what is good and bad, and what is valuable and worthless. The spirit stores these conclusions and thence grows in wisdom and power. The aging process, which appears to be a continuous decline from the physical point of view, is seen to be one of continuous growth and improvement from the spiritual point of view. As Paul said (1 Corinthians 15:44), "What is sown a physical body is raised a spiritual (soul) body," and (2 Corinthians 4:16), "Though our outer nature is wasting away, our inner nature is being renewed every day."
The clairvoyant can also see that, although the dense body ages, the pattern according to which the dense body was constructed remains unharmed by time. When the dense body has aged to the point that it is uninhabitable, the spirit leaves the dense body, but takes with it the pattern according to which the dense body was made. The spirit may make changes in the pattern if it has noticed any defects, and then it uses this pattern for building a new body within the womb of a new mother. Although bodies decline during a lifetime on Earth, the trend from lifetime to lifetime on earth is one of continued improvement.
Similarly, the Solar System can withdraw from manifestation when it "runs down" and needs to get a new start with renewed impetus and order.
Because physical things appear to be in a continuous state of decline, one may become pessimistic and lacking in hope if one focuses one's
attention only on the physical. Let us therefore strive to always keep in mind that the spirit is in a continuous state of growth, and that we are step-by-step moving toward a state of glory beyond all comparison.
Based on their observations of the nature of nuclear decay processes, material scientists have deduced various laws of nuclear decay. Applying these laws to various materials, it is possible to deduce how long the nuclear-decay processes have proceeded in an undisturbed manner within the material. In this manner the time since a rock solidified or the time since a plant or animal died can be determined from a sample of the rock, plant, or animal. Using these procedures, scientists have found that moon rocks are between five and six billion years old and the oldest earth rocks are between three and five billion years old. Fossils of plant and animal bodies have been found that have ages of up to about 560 million years. When these fossils are ordered according to the time when they were formed, it is observed that in earlier times only the simpler forms of life were present, and as time progressed more and more complex forms appeared. The oldest fossils are algae, jellyfish, soft corals, and primitive worms. Later the first shelled marine animals appeared, then later the first fish, then the first amphibians, then the first reptiles, then the first birds, then the first mammals, then later the first humans appeared.
The material scientist learns about the past by making present observations and then extrapolating backward according to scientific laws as he understands them. This method obviously has limitations as to how far back it can go and as to its accuracy. The clairvoyant can study the past with greater accuracy and can go further back than the material scientist because he can read the record of the past, which is stored in the superphysical worlds. The material scientist cannot see the superphysical powers that directed the development of the physical processes, but the clairvoyant can see what these powers did, and thus can help complete the picture.
The clairvoyant Max Heindel
gives a detailed account of the evolution of the earth and life forms on it and of the spirits working in these life forms in The Rosicrucian Cosmo-Conception. He starts his account at a time that precedes even the existence of the present Solar System. He tells how present humanity, in the far distant past, were spiritual beings within God, and had no dense body or feelings or thoughts as we do now. We had no self-consciousness and no ability to exercise initiative. To help us develop self-consciousness, various creative hierarchies within God helped us build bodies through many lengthy steps, which involved many times construction of bodies, working through the bodies for a time, and then leaving those bodies, modifying the body plans, and then reconstructing the bodies. This had gone on for long ages even before the present earth came into existence. The spirits inhabiting present-day animal bodies had also been helped to start learning to build bodies prior to the present earth, but they generally started later than present humanity. The spirits inhabiting present-day plant bodies had also been helped to start learning to build bodies prior to the existence of the present earth, but they generally started later than the present animals.
The clairvoyants say that the steps in the construction of the life forms on the present earth were as follows: First humans (with the help of the various creative hierarchies) built mineral forms (various atomic and molecular combinations and crystal forms). Then the humans left the mineral forms and built (with help) plant forms and worked in and through these. Then they left the plant forms and built (with help) animal forms, and finally they built (with help) human forms, and are still building and improving these forms. Once a form has been constructed, it can be reproduced (by generation) and other spirits can inhabit the form than originally designed it. Thus the animal and plant spirits started functioning on earth by entering into the forms constructed originally by and for the humans. Being less advanced, the animals and plants could not do as well in body building as the humans had, so under the care of the animal and plant spirits (and the higher spirits who guide them, the forms that they had taken over from the humans sometimes initially degenerated. For example, after an "early ape" body had been formed by humans, some of these body forms (inhabited by human spirits) were improved to the present-day human form, and others (inhabited by animal spirits) degenerated to the present-day ape forms. In time, of course, as the animal spirits continue to work through their ape forms, they will gradually learn to improve them..
Material scientists have observed that the genetic pattern of the offspring is sometimes different than the genetic pattern of the parents. Material scientists are not able to see the powers that direct the changes in genetic patterns, because these powers have their origin in the superphysical worlds. Max Heindel describes in detail the many creative hierarchies who have directed and who are directing the body-building processes. These creative hierarchies build with purpose. They try to make the bodies capable of being more and more responsive to the Will of the Spirits that inhabit them. We, as humans, are among the creative hierarchies and we work both at improving the designs of animal and plant bodies. Most of this design work is done between earth lives, when our consciousness is focused in the higher worlds.
Some new body-forms are made and some go into extinction, some advance and some degenerate. The important thing to keep in mind, however, is that spirits never go into extinction and that they continually evolve (in general). The basic law of evolution is "Onward and Upward Forever."
Animals, when confronted with a new problem which neither they nor any of their species has encountered before, generally show little or no reasoning abilities in trying to find a solution and just try many motions, hoping that they may hit on something that will work. Animals frequently, however, are in possession of patterns of behavior that solve their customary problems of life, which are so complex that it is difficult for material scientists to determine how the animal, without reason, could have arrived at such a pattern of behavior. For example, there is a species of spider that obtains food by building an elastic web, drawing the center back to make it cone-shaped, and then releasing it when a flying insect appears so that it springs out and catches the insect. (See John Paul Scott, "Animal Behavior," p. 166).
The sea otter that lives off the western coast of North America dives for mussels, clams, and spiny lobsters. When it brings one of these to the
surface, it also brings up a flat rock. The otter then lies on its back in the water, places the rock on its chest, holds the prey in both hands and brings it down hard on the rock until the shell of the prey is cracked. (See Scott, p. 167).
Some material scientists theorize that in the past some one spider or sea otter may have hit on its patterns of behavior by "chance, and then
continued the behavior because it was found to be rewarding. The offspring and associates of this particular spider or sea otter may then have learned the pattern of action by imitation. There are, however, some complex patterns of action that the animals of a species are all observed to carry out even without having observed any other members of the species. For
example, the amoeba is a one-celled animal that has no sense organs and thus has no means of observing other amoebas. Yet all amoebas have similar "wise" procedures for catching prey. If the prey is moving and hence likely to escape, it flows around the prey in a wide embrace, so as not to disturb it prematurely. Quiet prey, on the other hand, is tightly surrounded. If the prey is an object that usually moves in a horizontal plane, the amoeba surrounds it in this plane first, and then cuts off the vertical paths of escape. (See Margaret F. Washburn, "The Animal Mind," p. 39).
Some indigo buntings were separated from other indigo buntings at an early age and hand-reared. If they were not exposed to the night sky at an early age, they did not know what direction to travel in the autumn. If they were exposed to the night sky or even to the artificial sky of a planetarium at an early age, then they were correctly able to choose the southerly direction for their autumnal migration. (See Scott, pp. 238-239). How the indigo buntings arrived at their choice of the southerly direction, even without cues from other birds, remains a mystery to material scientists.
Another remarkable example of a complex pattern of behavior that the members of a species carry out without having watched other members is the nest-building of the mallee fowl of Australia. The male mallee in late winter scoops out a hole in the sand, fills it with vegetation, and covers it with a mound of sand. Decomposition heats up the sand, and the female comes to the mound, mates, and lays one very large egg approximately once a week. The male covers each egg with sand and visits the mound daily, uncovering the nest, and testing the temperature by thrusting its open beak
into the sand. If it becomes too hot, the bird opens the nest early in the morning and scratches cool sand into it. As summer progresses, less heat radiates from the decaying vegetation, and the bird piles the sand deeper and deeper in order to provide insulation. Later in the autumn, the ground begins to cool down, and the bird keeps the nest warm by opening it during the middle of the day and scratching in sand that has been warmed by the sun. In this way, the bird is able to keep the nest at a relatively constant temperature of 92 degrees F throughout the long laying season. In the process of incubation, the mallee fowl may build a mound of sand fifteen
feet across and three feet high and move a large portion of it daily. When the chicks hatch, they dig their way through two or three feet of sand, leave the nest, and go off into the scrub to find food for themselves. They do not stay around to watch their father's activities, and yet when the
males grow up, they carry out the same procedures. (See Scott, pp. 271-273).
Clairvoyants can see a part of reality that material scientists cannot see, and thus clairvoyants can provide information concerning the source of the wisdom of the animals that the material scientists are puzzled about. According to clairvoyants, each animal has an individual spirit. Clairvoyants agree with material scientists that the animal spirits do not have developed thinking and problem-solving powers. Clairvoyants also see, however, that an archangel is associated with each species or tribe of animals. The archangel of the species is connected to each member of the species by means of a silver cord composed of material from the World of Thought. Through this silver cord, the archangel can send commands to the animal as to what it should do in any given circumstance. The archangel is in touch with cosmic wisdom, and thus can set up patterns of behavior which embody wisdom for the animals in its charge.
It is the archangel in charge of the spiders who guides the spiders to build and operate their "clever" webs. It is the archangel in charge of sea otters who guides them to use the stone for cracking the shells of the mussels. It is the archangel in charge of amoebas who guides them in their catching of prey. It is the archangel in charge of indigo buntings who helps them to determine what direction to fly by observing the stars. it is the archangel in charge of the mallee fowls who guides them in building and caring for their nests.
The archangel of each species of animal designed the patterns of action for that species in order to promote the well-being of that species. Sometimes individuals of a species will encounter unusual circumstances that the general pattern of response does not fit. Then the individuals may need to learn specialized responses. If an individual animal eats a particular thing that gives it an unpleasant reaction, that individual animal will learn to stay away from that particular food. The guidance of the archangels does not hinder or obviate the necessity for individual learning of animals.
An interesting illustration of the individual learning that animals engage in has been obtained from observation of the jackdaw, a crow-like
bird. An inexperienced jackdaw fashioning its first nest initially collects almost anything, including pieces of ice, light bulbs, and unsuitable twigs. A jackdaw with a potential nest item tries to push the object into the other materials already gathered. If it is unable to wedge the object in, it discards it. Types of materials that have been discarded once are no longer collected. Most jackdaws eventually become specialists, collecting twigs from only one species of tree that happens to produce especially "good" nest material. (See John Alcock, Animal Behavior, pp. 135-137).
A young child needs the care of its parents to ensure that it obtains the necessities of life and keeps out of harm. But during the years of parental care, the child is growing, developing its own skills, and learning about the world so that in time it will be able to care for itself. Likewise, during the ages in which the animals are directed by the archangels, the animals are also evolving their skills and abilities, so that in time they will outgrow the need for the direction of the archangels. Clairvoyants can see that animal spirits are no different, in essence, than human spirits. The animals spirits are just less evolved. Animals are thus, in truth, our younger "brothers," and are deserving of our respect and compassion.
References
— Alcock, John, Animal Behavior Sunderland, Massachusetts, Sinauer, 1975
— Scott, John Paul, Animal Behavior Chicago, Illinois, University of Chicago Press, 1962
— Washburn, Margaret F., The Animal Mind, New York, Macmillan, 1926
Material scientists observe that one's personality is influenced, first of all, by the structure and composition of one's body, which is influenced by heredity, what the mother takes into her body during pregnancy, and diet after birth. Babies get half of their genes from their mother and half from their father, and the genes determine the major characteristics of the body structure. The materials from which the baby's body are built come from the mother's body. To build a strong and healthy body for the baby, the mother needs appropriate amounts of protein, vitamins, and minerals. If the mother's diet does not contain sufficient protein, mental retardation of the child may result. If the mother smokes, the baby's body will develop more slowly and also be more likely to be born prematurely, which increases the risk of deformity (especially cleft palate and cleft lip.) If the mother takes medicines or drugs, there is danger of improper development of the baby's body. After birth, continued good nutrition is needed for proper development and functioning. Lack of B vitamins in the diet has been linked with irritability, depression, and forgetfulness. Alcohol consumption leads to decreased ability to make correct judgments, decreased ability to remember, and loss of self-control. Drugs can influence the feelings and thinking ability. The carbon monoxide in cigarette smoke decreases the oxygen-carrying capacity of the blood, which reduces the oxygen reaching the brain, which decreases attentiveness and cognition abilities.
Material scientists also observe that the environment influences the personality of a person. One's physical surroundings, the books one reads, the TV shows one watches, the people one associates with can all have an influence. Physical surroundings stimulate personality development through the various types of problems that they present and the hardships in them that must be overcome. From books and TV, one obtains views of how others act under varying circumstances, which tend to lead to imitation. Associates not only provide examples to be imitated, but also give feedback on one's own actions when they express approval or disapproval, or if they reward or punish various actions. Material scientists have observed that people tend to do that which brings rewards and to not do that which brings them effects that they consider undesirable.
Does the personality depend only on heredity, body development during pregnancy, diet, physical surroundings, the models one has observed, and the conditioning one has received in the form of rewards and punishments? These
are all the influences that material scientists have detected, but clairvoyants can see additional influences.
The clairvoyant can see that each Ego has a long history prior to the time of conception, and that in this time prior to conception has developed body structure patterns of its own and many skills and concepts of right and wrong and good and bad. Although the Ego must get its genes and dense body materials from its parents, it fits these materials (as well as it can) into its own previously structured dense body pattern. Although the Ego may learn certain things in this life, it comes into life knowing certain other things (which it learned in previous lives).
The clairvoyant can see that different Egos are given different astrological force patterns to work with, and that which of the many models in one's environment one is most likely to imitate is determined by which is most in tune with one's own force pattern. Also, the astrological force pattern that one has to work with will influence what one considers to be rewarding.
Can the personality of a person be explained entirely in terms of heredity, body development during pregnancy, diet, physical surroundings, models, conditioning, pre-conception (past-life) experiences and development, and astrological force patterns? The answer is still no. Neither the material scientist nor the clairvoyant can see the Will of the Ego. Regardless of any past or present circumstances or conditions, the Ego can exert its Will and make a break with its past and take a new direction or rise above its present circumstances if it so chooses. It is because of this, that regardless of what our parents and teachers did or did not do, regardless of what our associates do, regardless of what we have done in the past, regardless of what horoscopes we have, we yet may turn our lives in any direction that we wish. We ourselves may make our lives beautiful or ugly, productive or destructive, satisfying or empty. It is because the Ego has the capability of exerting its Will that Paul could admonish people (Ephesians 4:22-23) to "Put off your old nature which belongs to your former manner of life and is corrupt through deceitful lusts, and be renewed in the spirit of your minds, and put on the new nature, created after the likeness of God in true righteousness and holiness."
The physical process by which a baby is produced is quite intricate. The human body is composed of structural units called cells. Each cell contains
a central part, called the nucleus, which is surrounded by cytoplasm, which is surrounded by a wall. In the nucleus are "genes" which contain the coded patterns according to which the various proteins in the body are built. These genes are linked together into chains called chromosomes. When an offspring is to be produced, the chromosomes within a cell must duplicate, and the duplicated chromosomes then go to form a sperm cell or an egg cell. A sperm cell unites with an egg cell, and the resulting cell then proceeds to duplicate and the embryo begins to grow.
If one or both parents have defective genes, and if the parent's defective genes are among the half that are transmitted to the sperm and
egg, then the baby will have defective genes and may have corresponding structural and functional weaknesses in its body. In the duplication and separation processes in the production of the sperm and egg and in the early growth of the fetus, if a gene is not duplicated accurately, or if a portion of a chromosome gets broken off or if chromosomes break and reattach in
improper order, or if too many or too few chromosomes get transferred to the sperm or egg, then structural or functional weaknesses in the body may result.
Throughout the ages there have always been (as far as we know) low levels of "cosmic rays" that are capable of producing genetic and chromosomal mutations. Also, viral infections that can induce mutations (such as the virus that produces German measles) have been around for some time. Mankind has, however, introduced into his environment various new factors that are able to significantly increase the number of mutations. High-energy radiation produced by X-ray machines, or radioactive materials or video screens; some chemicals (mustard gas, formaldehyde, dioxan, caffeine, cigarette smoke, alcohol, lead, herbicides, acridine dyes, apoxides, ethyl urethane, phenol, manganous chloride, bromouracil, etc.); and some drugs (LSD, diethylstilbestrol, aspirin, hormones. etc.) have been
found to increase the number of mutations. In general it is the pregnant mother who must avoid these mutagenic agents, but in some cases the mutation can originate in the father. Soldiers who were assigned the job of spraying herbicides in Vietnam were found to father an unusually large number of defective children when they returned to their wives in the United States.
Clairvoyants see that many congenital defects had their origin in a past life. Max Heindel notes (see "Web of Destiny," pp. 58-71) that when the creative force has, in one life, been wasted on gratification of the passions, then there is a dearth of creative force available in the next life for the building of the brain, nervous system, and larynx. Thus, the Ego may be born into a body that has mental, nervous, and/or speech disorders. Materialism in one life can lead to a construction of a body in the next life in which parts that should be soft are hardened, and parts that should be hardened are soft. Protracted disregard for truth in order to serve one's one selfish desires in one life can lead to misalignment of the Ego with the forces of truth when the archetype is being formed for the
body for the next life. This can lead to malformation of the archetype and thence to malformation of the body for the coming life. Those who fail to make proper use of their sense organs in one life, who try to shut themselves off from the world around them, who ignore the cries for help or the opportunity to see the conditions and needs of others, may have impaired
hearing or sight in their next life.
Clairvoyants also see some congenital defects that were not due to actions in a previous life. Some Egos may not have done anything particularly wrong, but may need to concentrate on developing certain soul powers, and inhabiting a body with certain limitations may help focus their efforts on developing these soul powers as they struggle to overcome these limitations. Some Egos may be in the process of restructuring a particular organ and in the transition stages that organ may not function well. This is the origin of some of the eye problems that people have, as the eye is in the process of being restructured so that instead of receiving reflected rays and forming an image on the retina, the so-called blind spot will be sensitized and people will look out through the eye and see directly the thing itself, both inside and out. Just before an Ego enters into a fetus, it sees a panorama of the coming life. If the Ego sees that a particularly difficult life is in store for it, panics, and tries to escape from the mother's womb, it may cause a partial disconnection between the sense centers in the etheric and dense bodies, so that the etheric cranium extends above the physical cranium. Then the spirit cannot enter into the body and control it. Idiocy results.
The material scientist sees congenital defects as being the result of inheritance, environmental factors, and "chance" (which determines what genes an offspring will get from each parent and what genes and chromosomes get influenced by environmental factors). The clairvoyant sees congenital defects as being the result of past actions and current soul development needs of the Ego that is coming into the body. These two points of view can be united if it is allowed that those events attributed to "chance" are, in fact, intelligently controlled. We then may get the following unified picture: An Ego, due to past actions or current soul development needs, is in need of inhabiting a body that will have certain limitations. The Recording Angels find for this Ego some parents who can provide appropriate gene and chromosome structures, and the Recording Angels oversee the replication process to make sure that the appropriate choice of genes is obtained from each parent and that these genes are (if needed) mutated as required by the needs of the incoming Ego. This picture holds true for cases in which "natural" mutations occur. When humans introduce mutagenic agents into their environments, the natural situation no longer exists. Man has been given free will, and has power to do things that are harmful to himself and others. When man introduces mutagenic agents into his environment, he may be initiating a cause-effect chain. He may be causing malformation and malfunctioning of some bodies that would otherwise have been whole. In such cases, debts are being stored up that will need to be repaid at some future time.
Reference
— Heindel, Max, The Web of Destiny, Oceanside, California, The Rosicrucian Fellowship, 1928
Material science has observed that people who consume meat have higher risks of developing arteriosclerosis, coronary heart disease, stroke, diverticular disease, cancer of the colon, and cancer of the breast.
Meat contains high levels of cholesterol and fat. If a person has too much cholesterol and fat in his blood, fat deposits tend to collect in the
arteris, which makes them narrower and makes it more difficult for the blood to flow. If a blood clot lodges in a narrowed artery leading to the heart or brain, circulation may be cut off to a portion of the heart muscle or brain and a heart attack or stroke may result.
Meat contains little fiber. Fibers, when they reach the large intestines, draw water into the intestinal tract so that the intestinal contents will not become too hard. Fiber helps stimulate peristalsis in the intestines, which helps move the contents. When the contents of the intestines move readily, these is less danger of diverticular disease (in which pockets from in the intestine wall and matter and bacteria collect in
the pockets) and less danger of appendicitis. When the contents of the intestines do not spend too long there, there is less opportunity for bacteria to produce carcinogens and thence less risk of cancer of the colon.
Meat tends to develop more anaerobic bacteria in the intestines that produce carcinogens, while a vegetarian diet produces more aerobic bacteria in the intestines that do not produce carcinogens.
In every animal body, the venous blood is filled with carbon dioxide and other noxious products on their way to the kidney or the pores of the skin to be expelled as urine or perspiration. These loathsome substances are in every part of the flesh, and when we eat such food, we are filling our bodies with toxic poisons. Meat contains urea and uric acid, which tends to produce gout or gouty arthritis. In the present day, many livestock raisers feed hormones, tranquilizers, and antibiotics to their livestock. DES (diethylstilbestrol), the synthetic estrogenic hormone used to fatten cattle, has been isolated as a carcinogen. Many fish that reach the market were grown in water polluted by industrial wastes, lead, and mercury.
It is further observed by material scientists that people who eat mainly animal protein (meat, eggs, milk) cannot maintain vigorous physical exercise for as long as those on a complex-carbohydrate diet (bread, potatoes, corn).
Clairvoyants observe that the cells in plant and animal bodies carry with them some invisible components that are not detected by material scientists. Plant cells are permeated by ether, which, when eaten, helps energize the vital body of man. Cells from animal bodies contain little ether because the vital body of the animal left the dense body when the animal was killed. The cells in the animal body were, during the life of the animal, worked on and interpenetrated by the individual desire body of the animal, and are permeated by the passions and desires of the animal. When animal flesh is eaten, it tends to stimulate animal passions (ferocity, low cunning, and depravity) in man. Cells in the animal body are more individualized than the cells in the plant body, and thus more energy is required to overcome the animal cells and get them to obey the Will of the one who is using them as food.
Clairvoyants also observe that animals are evolving beings who come into embodiment in order to gain experience. When humans cut short the life of an animal, they hinder the evolution of the animal. Although plants are also evolving beings, when fruit is ripe, it has accomplished its purpose, which is to act as a womb for the ripening seed. If is is not eaten, it decays and goes to waste. Any egg or seed, of itself, is devoid of life. If it is given the proper conditions of incubator or soil, the life enters it, thus grasping the opportunity so afforded of producing a dense body. If the egg or seed is cooked, crushed, or not given the conditions necessary for life, the opportunity is lost, but that is all.
Clairvoyants also note that through evolution, all men are destined to develop clairvoyant powers and spiritual powers that will enable them to see spiritual things and to speak the creative word. But before men can be entrusted with these powers, they must become harmless as doves, for otherwise they would be apt to turn their powers to such selfish and destructive purposes that they would be an inconceivable menace to others.
When people decide to discontinue eating meat, they must rearrange their diet so that they get sufficient proteins from other sources. Low-fat milk and milk products, beans, nuts, seeds, and whole-grain cereals are good
sources of protein. Most fruits and vegetables contain some protein.
Proteins are composed of amino acids. In digestion, proteins are broken into their component amino acids, which are then re-synthesized into new proteins that the body can use. There are eight essential amino acids for adults (ten for children). These are essential because the human body cannot synthesize them in great enough quantities to satisfy body needs.
All eight must be received in the stomach within about four hours of one another in certain relative amounts to be efficiently utilized by the body. If one amino acid is present in less than the ideal amount, the utilization of all the others will be decreased. All the foods listed in the following chart contain all of the eight amino acids to a level of at least 40 percent of the ideal, and thus any one can supply the protein needs of the body with at least 40 percent efficiency. The amino acids that are listed as being
deficient are between 40 and 60 percent of the ideal.
| Food: |
Deficient Amino Acids: |
| Milk, eggs, cashews, spinach |
No amino acids are deficient |
| Wheat germ |
Tryptophan |
| Mushrooms, wheat bran |
Isoleucine |
| Sunflower seeds, millet |
Lysine |
Brewer's yeast, soybeans,
okra, brussel sprouts,
cauliflower, broccoli,
peas |
Methionine |
Kidney beans, lima beans,
navy beans, lentils,
garbanzos, dried peas |
Tryptophan, Methionine |
Potato, mustard and turnip
greens, collards,
asparagus, cowpeas
(blackeye) |
Isoleucine, Methionine |
| Peanuts |
Isoleucine, Lysine, Methionine, Threonine |
| Rye, corn |
Tryptophan, Isoleucine, Lysine |
If foods from the above chart that are deficient in some amino acids are eaten with foods that are not deficient in those amino acids, then the
efficiency of these foods in supplying the protein needs of the body will be increased.
The vegetarian must also make special effort to obtain sufficient vitamin B12 as it is not present to any measurable degree in plants. Eggs, milk, and brewer's yeast contain vitamin B12.
Reference
— Lappe, Frances M., Diet for a Small Planet, Rev. ed., New York, Ballantine, 1975.
Material scientists observe that when alcohol is consumed, the alcohol passes through the stomach and intestinal wall into the blood. Thence it is carried throughout the body. Alcohol acts as a depressant on the functioning of the brain and nervous system. A small amount of alcohol depresses the area of the brain that deals with judgment, motor coordination, self-control, and memory. The individual may then feel less inhibited and may say and do things that he might not ordinarily do if his judgment were not impaired. If more alcohol is consumed, muscular coordination and reflexes suffer, sleepiness is felt, and heartbeat rate may decrease and breathing may be depressed. The liver works on most of the alcohol in the body. There the alcohol goes through a chemical process, oxidation, in which its energy is released as heat. Some alcohol is oxidized or burned off in the lungs, and some is removed through sweat and urine. If only a small amount of dilute alcohol has been consumed, when the body has rid itself of the alcohol, it may appear to return to normal.
When substantial amounts of alcohol (over a period of time) have been consumed, some other effects become noticeable. Alcohol is particularly poisonous to the protoplasm of the delicate cells of the nervous system. It interferes with the functioning of these cells at an early stage, ultimately causing permanent alteration of tissue. Cells become indistinct in shape, eventually with some parts shriveling up. At this stage the cells are not recoverable. It becomes serious when one loses large number of brain cells to be replaced. There is then memory loss, poor judgment, confusion, and disorientation. Alcohol can also damage nerve cells in the stomach, and thence may impair the ability of the stomach to churn and pass on its contents. Alcohol relaxes muscles and makes them weak and less able to perform. Over time they become flabby. When the heart muscle is so affected, circulation is decreased. Fatigue and shortness of breath result. Alcohol may cause the destruction of cells in the liver (cirrhosis). Alcohol can damage the mucosal lining of the stomach, and cause ulceration. Alcohol can cause the kidneys to degenerate so that waste products are retained while albumin is allowed to escape.
Clairvoyants can give added information on the effects of alcohol consumption. They can see that man has both a dense body (composed of atoms) and a vital body, which contains "points" that enter into the hollow centers of dense atoms, imbuing them with vital force that sets them vibrating at a rate higher than that of the mineral of the earth, which is not thus accelerated. Normally, when foods are taken into the body, during the process of assimilation, the food particles are fit into the points of the vital body, and their rate of vibration is brought into harmony with the rest of the body. Alcohols vibrate with such intense rapidity that the human spirit is incapable of tuning it down and controlling it. The alcohol acts as an anesthetic, and partially drives the vital body out. It then accelerates the vibratory rate of the atoms in the body to its own rate. Thus, the alcohol takes control of the body away from the man.
The clairvoyant notes that there are two organs in the body, called the pituitary body and pineal gland, which in the past were used by man as organs of perception in the spiritual worlds. Consumption of alcohol, however, has caused these organs to become dazed so that they can no longer perform their previous function. In the course of evolution, man's view needed to be turned away from the spiritual worlds for a time so that he would develop more self-consciousness and turn his attention toward solving the problems associated with physical existence. But when man gets ready to again turn his vision toward spiritual existence, the consumption of alcohol will have to be discontinued before the pituitary body and pineal gland can again be reawakened.
Two statements have now been made about alcohol that at first glance may appear contradictory. It was stated that alcohol tends to accelerate the vibratory rate of the atoms in the body, and an accelerated vibratory rate is normally associated with a higher (more spiritual) consciousness. It was also stated that alcohol dazed the pituitary body and pineal gland so that they could not function as organs of perception in the spiritual worlds, so that alcohol turned man's consciousness away from the spiritual worlds. The relation of these statements can be understood by means of an analogy. Suppose someone caught a bird, tied a band around its wings so that it couldn't fly, and then lifted the bird up off the ground. Even though it was lifted up, the net effect would be that the bird was essentially earthbound. Likewise, alcohol prevents people from soaring to spiritual heights of consciousness although it may promote dreams of grandeur in the resulting earthly view. Just as the bird with its wings tied loses its self-control when someone lifts it off the ground, so also the man loses his self-control when he uses alcohol to raise the rate of vibration of his body.
The material scientists find it difficult to explain why alcohol is addictive. About all they can say is that in the drinker the cells of the body shift their metabolism so that they become dependent on alcohol. The clairvoyant Max Heindel, states that it is not the dense body that craves alcohol. The dense body is made sick by alcohol and would rather be without it. It vainly protests in different ways, but the desire body of the drunkard craves the drink and forces the dense body to take it, so that the desire body may have the sensation of pleasure resulting from the increased vibration.
Should a person drink alcohol? The answer to this question will be different for different people. If a person needs his consciousness focused
more closely in the material world, then occasional partaking of limited amounts of alcohol may be appropriate. Such a person must, however, be careful not to do anything that could injure himself or anyone else when he is under the influence of alcohol, such as driving a car or operating potentially dangerous machinery or trying to forcefully get others to obey his desires. If, on the other hand, a person has begun to tread the path that leads to spiritual enlightenment, he should strictly abstain from alcohol in all forms.
Material scientists observe that people can communicate by means of the spoken word. When one person speaks, he sets his own vocal cords to vibrating. When the vocal cords move upward, they cause the air above them to be compressed; and when they move downward, they cause the air above them to become rarified. Thus, the alternate up-and-down motion of the vocal cords produces a series of compressions and rarefactions in the air, which is known as a sound wave. The tongue and lips can be put in various positions to affect this sound wave as it passes them, and thus words are formed. The sound wave can travel outward in all directions from the speaker. If part of it enters the ear of a listener, each compression causes the eardrum of the listener to be pushed inward and each rarefaction causes the eardrum of the listener to be pulled outward. Thus the eardrum is set to vibrating with the same frequency of vibration as the sound source, and thus the same message that was sent out is received. A person's eardrum is capable of responding to only a certain range of frequencies. If the frequency of the sound is too high or too low, the sound will not be heard. A human cannot hear the high frequency sound produced by a dog whistle, even though dogs can hear it.
Material scientists also observe that information can be carried by means of electromagnetic waves. Radio and TV waves, radar and microwaves, visible light and X-rays are all examples of electromagnetic waves. Electromagnetic waves are produced by oscillating or vibrating electric charges. In the radio, TV, and radar transmitting antennas, electrons are made to run back and forth. In hot objects, such as the filament of a light bulb or a flame, the electrons vibrate within the atoms and molecules. As electromagnetic wave travels outward in all directions from its source until it encounters some other object. Whether or not the electromagnetic wave is able to convey its vibrations to the object it hits depends on whether the object is able to vibrate at the frequency of the wave. When a radio has its dial set at a particular frequency, then the radio is only able to respond to waves of that frequency. It will receive the waves of a station that transmits at that frequency, but all other waves will pass through it with no effect. Our eyes are capable of responding to only a certain range of frequencies. We cannot see radio waves, TV waves, radar waves, or microwaves, because their frequencies are too low. We cannot see X-rays because their frequencies are too high. We see only the visible spectrum: red, orange, yellow, green, blue, and violet.
Clairvoyants observe that in addition to sound waves and electromagnetic waves there are other radiations that carry messages through space. In every person there is a small organ in the brain known as the pineal gland. If anyone thinks very intently on a single idea, with concentration and sustained attention, the ether in the pineal gland is set into vibration. This sets up waves in the surrounding ether, which travel outward in all directions. When these waves reach another person's pineal gland, if they set the ether in it into vibration, the vibrations are transmitted to the desire body and mind in succession, thus reaching the consciousness. If the second pineal gland cannot reproduce these undulations, then the thought will pass unnoticed, making no impression.
Thought-waves themselves are able to carry messages without coming down into the etheric region of the Physical World. The thinker, having created a thought form, may send it directly to another mind on the mental plane. In fact, all thoughts radiate outward from their originator and can influence receptive and responsive minds. Each mind that receives a thought reproduces the vibrations and then re-radiates the thought, and thus strengthens the original thought-wave, so that it may go on to influence other minds.
Men communicate with one another by means of spoken words or electromagnetic waves or etheric waves or thought waves. They then look around and ask, "Who else can we communicate with?" Some small amount of communication is achieved with animals through sounds and actions and thoughts. Men then look into the sky and wonder if there is anyone "out there." Material scientists have made many studies to try to determine, what conditions are needed for life (as they know it) exist, where in the universe these conditions exist, and how communication can be established with such life. In rockets that are sent out of the Solar System are placed plaques that are inscribed with symbols that it is hoped an alien would be able to comprehend. Also radio signals have been beamed in likely directions carrying what are intended to be universal symbols, and some "listening" for signals from outer space is also being done. So far, no communication appears to have been established. Some people believe that some unidentified flying objects (UFO's) may be visitations from other civilizations, but the UFO reports are unsatisfying to the scientific community because they find that a large number of the reports can be explained in terms of natural (earthly) phenomena, and because no UFO's have stayed around long enough for sustained scientific investigation. Thus, material science still pictures humans as being rather lonely travelers in this great universe.
The clairvoyant, who is able to perceive a wider range of frequencies than the material scientist, detects many living beings beyond the confines of the Earth. Max Heindel notes that the twelve constellations of the zodiac are the visible vehicles of the twelve great Creative Hierarchies that have helped and are helping mankind to evolve. The whole Solar System may be considered as the body of the God of the Solar System. Every atom within it is infused with His Life and consciousness and would cease to exist if His Life were withdrawn. God contains within His being a multitude of other beings at various stages of development. Their diverse needs require diverse external environments. In order to furnish such proper conditions, planets are thrown off from the central mass, each being differently constituted. The Christ and the Archangels have their home mainly in the Sun, although Christ sends a ray of His consciousness to the Earth during the fall and winter seasons each year and the archangels work to carry the solar rays from the Sun to the various planets and from each planet on to other planets. Also some archangels work as ambassadors from the various planets to the Earth, and some work as race and national spirits on Earth.
Jehovah and the angels have their main home on the moons of the various planets, although they work on the planets to direct the processes of growth and reproduction of forms. Four angels, called the Recording Angels, see that each human pays his debts of destiny and encounters those experiences that he needs for his development. The Lucifer Spirits (fallen angels) have their home on Mars, but work to encourage humans to gain self-consciousness, to seek knowledge, and to act creatively and independently of external forces. The members of the class of virgin spirits to which our humanity belongs have, during the evolutionary periods, progressed at varying rates, so that at present different conditions of heat and vibration are needed by different ones. Thus some of our class of virgin spirits are on each of the planets and their moons. Those on Mercury, Venus, and Jupiter are generally more advanced than the humans on Earth. Those on Mars, Saturn, and Uranus are generally less advanced. The moons serve as homes for stragglers who were not able to keep pace with the beings on the main planet.
The clairvoyant can not only see these extra-terrestrial beings, but also can note the interaction of these beings with humanity on Earth. The clairvoyant sees that each Archangel who acts as a national spirit radiates into the atmosphere of the nation of which he has charge various images, ideas and feelings and thereby influences the body structure, language, habits, customs, and feelings of the inhabitants. All people respond to the directions of the race, national, or family spirit until they develop the will power, conscience, and reasoning power to be their own guide.
There are some archangels who bring the solar rays both directly to the Earth and indirectly to the Earth by way of the moon and other planets. These rays (which are what the astrologer studies) each carry messages, and each has power to enliven various parts of the person if the person attunes himself to them and allows them to resonate within his being (just as the radio wave has power to "enliven" a radio that has its circuit tuned to the frequency of the wave). During the fall and winter months each year, the Christ bathes the Earth in a flood of spiritual light, which carries a message of love and good will and generosity toward all. At the present time, humans feel these rays from the Christ only weakly, but as humanity grows in its ability to respond, feelings of Universal Brotherhood will grow on Earth.
Is the communication between the higher powers (Christ, the Archangels, and others) and humanity always a one-way street? Does it always go from the higher to the lower? No! Man may also send communications to Christ, the Archangels, and the other higher powers. Doing so is called prayer. The higher powers are not particular as to the manner in which the prayer is made (the position of the body and the location are not important to them). In fact, every thought of every human is known to them and in a sense constitutes a prayer. Christ has given his promise (Matthew 7:7), "Ask, and it will be given you; seek, and you will find; knock, and it will be opened to you." Some people feel that they ask and do not receive. Patience is needed. Continued asking, in time, will bring response, provided we ask with our whole being and do all in our power to bring about the desired end, and provided the condition of conformity to God's Law is met. This latter condition was known to Saint James, for he wrote (James 4:3), "You ask and do not receive, because you ask wrongly, to spend it on your passions." If two countries are fighting a war and both countries are asking God to help them win the war, then obviously God cannot answer both prayers affirmatively. Max Heindel affirms, "If our prayers...are in conformity with the laws of God, the divine purpose can manifest through us and our prayers are answered."
Max Heindel states that it is also possible to pray to the ambassadors from the planets to the Earth. Their names are given in the following chart.
| Name: |
Planets from which the Ambassador Comes:
|
| Archangel Ithuriel |
Uranus |
| Archangel Cassiel |
Saturn |
| Archangel Zachariel |
Jupiter |
| Archangel Samael |
Mars |
| Archangel Anael |
Venus |
| Archangel Raphael |
Mercury |
| Archangel Michael |
Sun |
| Angel Gabriel |
Earth's Moon |
The great commandments are (Matthew 22:37-39), "You shall love the Lord your God with all your heart, and with all your soul, and with all your mind,"...and "You shall love your neighbor as yourself." Love comes through understanding, and understanding comes through communication, and communication is only possible when we open ourselves up and allow other beings to produce an effect on us. Psalms 46:10 has the key, as it states, "Be still, and know that I am God." This is the way to come to know God. This is also the way to come to know the god within each of our neighbors. When Love has developed, then it will radiate out from each of us and be a blessing to all.
References
— Besant, Annie, Thought Power, Wheaton, Illinois, Theosophical Publishing House, 1973
— Heindel, Max, Questions and Answers, Vol. I., Oceanside, California, The Rosicrucian Fellowship, 1922 (p.322-324)
The scientist seeks to obtain knowledge through making objective observations and using logical thinking to draw conclusions from the observations. Does it matter what a scientist thinks about God? Does it matter what the purpose of a scientific investigation is — whether it be selfish or unselfish? Does it matter whether the scientist loves that which he is investigating? This chapter will seek answers to these questions.
In Proverbs 8:22, wisdom is represented as saying,"The Lord created me at the beginning of his work, the first of his acts of old. Ages ago, I was set up, at the first, before the beginning of the earth...When he established the heavens I was there...when he established the fountains of the deep, when he assigned to the sea its limit, so that the waters might not transgress his command, when he marked out the foundations of the earth, then I was beside him." God created wisdom; that is, he created the plan according to which the universe according to this plan. God is all-wise. He knows the plan and how he created things. He also knows all that is currently going on in His creation because He is omnipresent. "In him we live and move and have our being" (Acts 17:28).
If God is all-wise, then those who commune with God will learn wisdom. Many centuries ago, King Solomon wrote (in The Wisdom of Solomon 7:17-20), "It is (God) who gave me unerring knowledge of what exists, to know the structure of the world and the activity of the elements;...the cycles of the year and the constellations of the stars, the natures of animals and the tempers of wild beasts, the powers of spirits and the reasoning of men, the varieties of plants and the virtues of roots." In more recent times, Thomas Edison is quoted as having said that he believed his inventions came to him through the infinite forces of the universe. Dr. George Washington Carver rose early every morning and prayed to God before he went to his laboratory, and then went to the laboratory to carry out the direction he had received during his prayer. "Prayer," he said, "is an inner contact" (The Man Who Talks with the Flowers, by Glenn Clark).
If one is to receive wisdom from God through prayer, one's motives must be pure. Christ stated (Matthew 5:8), "Blessed are the pure in heart, for they shall see God." King Solomon further stated (The Wisdom of Solomon 7:25-27), "(Wisdom is) a pure emanation of the glory of the Almighty; therefore nothing defiled gains entrance into her. For she is a reflection of eternal light, a spotless mirror of the working of God, and an image of his goodness....In every generation she passes into holy souls, and makes them friends of God, and prophets."
Love of God can lead to communion with Him and partaking of His wisdom. On a smaller scale, also, if anything is to be understood, it must be loved. It is love that brings about the sympathetic uniting of one's consciousness with some being outside of oneself, which leads to the understanding of that other being. George Washington Carver loved the plants that he studied. He said, "No books are ever brought in here (to the laboratory)....Here I talk to the little peanut and it reveals its secrets to me....Anything will give up its secrets if you love it enough." In this manner, Dr. Carver discovered three hundred new uses for the peanut, including face powder, axle grease, printer's ink, shampoos, soaps, woodstains, oil dyes, and rubberoid compounds. If the chemist would understand the mysteries of molecules, he must love the molecules. If the electrical engineer would understand the mysteries of electrical circuits, he must love the electrical circuits. If the medical doctor would learn how to heal his patients, he must love the patients.
As scientists increase their love of God and the various parts of His creation, as this love grows in breadth and strength, as it acts as a force drawing the scientist ever closer to the source of wisdom, there will come a time when it will have the power to project him into the invisible worlds where he can see first-hand the forces that form and control all earthly manifestations, where he can perceive the inner aspirations and hopes and fears of all living beings. (See Max Heindel, "Ancient and Modern Initiation.") Then he will have reached the source of wisdom. From that point on, he will have the power to control the forces of nature so that he can do such things as create bread out of stones, calm the winds, levitate, and heal the sick.
Christ stated that the greatest commandments in the law were, "You shall love the Lord your God with all your heart, and with all your soul, and with all your mind,....and you shall love your neighbor as yourself." These commandments are just as important for the scientist as they are for the priest; they are just as important for obtaining understanding of the world as they are for obtaining favor with God. May the Light of Love bring illumination to those who walk in darkness.
References
— Clark, Glenn, The Man Who Talks with the Flowers, Saint Paul, Minnesota, Macalester Park Publishing Company, 1939
— Heindel, Max, Ancient and Modern Initiation, Oceanside, California, The Rosicrucian Fellowship, 1931
The sociologist Pitirim A. Sorokin has made an extensive study of what various peoples throughout history have considered to be of value. He
divided human value systems into two main classes, which he named sensate and ideational. The sensate value system places value on that which can be externally perceived with the physical senses. The ideational value system places value on intellectual and spiritual things. Sorokin found that what people consider to be of value influences their beliefs, their social and
political structures, and their art and music.
The peoples who hold the sensate view obtain truth from physical observation, and believe that the relation between cause and effect is
invariant or determined by pure chance. The peoples who hold the ideational point of view obtain truth from inspiration or revelation from God, and believe that true causes lie in a world beyond the world of the senses. The peoples who hold the sensate view equate good with happiness; the peoples who hold the ideational view believe that good is determined by principles. The peoples who hold the sensate view believe that the individual is of prime concern, and that society is only of value as it helps the individual achieve a fuller realization of his self-seeking impulses. The rich or the military or those who physically dominate are the rulers in the sensate society. The peoples who hold the ideational view believe that the good of
the whole is of prime consideration and individual "rights" may be abrogated for the good of the whole. The priest or religious leaders rule in the ideational society.
Sensate art and literature tend to be realistic, and based on familiar objects or persons. Ideational art and literature are symbolic, impressionistic, and allegorical. Sensate music is made to be interesting, enjoyable, entertaining, and spectacular. It may be accompanied by dancing, elaborate scenery, and food. Ideational music is meant to convey a hidden meaning, something that is beyond the sounds and for which the sounds are mere signs and symbols.
Throughout history, at some times the sensate view has been predominant, and at other times the ideational view has predominated. Often there have been conflicts between the proponents of the two views. Which view is best? What view should we adopt? To answer this question, we need to view the overall evolutionary scheme (as seen by clairvoyants). At the beginning of the evolutionary scheme, we were united in consciousness with God. We then had the ideational viewpoint in its purest form. In this state we had All-consciousness, but no self-consciousness, and so we could not exercise initiative or act creatively. In order to gain self-consciousness, we were helped to build bodies. These bodies acted as walls around the self, so that we lost the All-consciousness but gained self-consciousness and the ability to act as an independent, creative entity. This state of self-consciousness is the sensate view in its purest form. In the self-conscious state, conflicts arise between individuals and there are fights and wars and much suffering.
The ultimate aim of evolution is to regain the all-pervading harmony of the All-consciousness, but to maintain the individual initiative and creativity associated with self-consciousness. Thus our aim should be to blend the sensate and ideational points of view, to unite the secular and the religious, the head and the heart, and the good of the individual with the good of the whole. Causes must be sought in both the supersensory and in the domain of the senses. Evidence of both the senses and the intuition must be allowed, and fit into our world view. Through love, we must unite societal interests and individual interests. If all, through sympathy, feel the hurts and joys of any one, then the good of the one becomes the good of the all. Political leaders must be both statesmen and religious leaders. Art, literature, and music need to blend outer beauty with inner meaning.
When unification has been achieved, then the "mystic marriage" will occur, and we will be able to enter the Holy City (state of being) in which
there will be no more death or pain, where the water of life flows, and where the glory of God is the source of light (as described in Revelation 19:7-9 and Revelation chapters 21-22). This is the Kingdom of Christ, and well may we pray, "Thy Kingdom Come."
Reference
— Cowell, F.R., Values in Human Society — The Contributions of Pitirim A. Sorokin to Sociology, Boston, Massachusetts, P. Sargent, 1970
Material science has found that every object in the universe may be assigned a number (called the mass of the object) in such a manner that the
gravitational force of any object on any other object is proportional to the product of the masses of the objects and is inversely proportional to the square of the distance between the objects. This relation is written in terms of algebraic symbols as —
— where "G" is a constant, "M1" is the mass of object one, "M2" is the mass of object two, "R" is the distance between the centers of the objects, and "F" is the force of either object on the other. Equation (1) is called Newton's Law of Gravitation.
Near the surface of the earth, Newton's Law of Gravitation correctly describes the pull of the earth on objects (which pull makes released
objects fall, and which makes objects that are thrown horizontally follow a path that curves toward the earth). When man sends rockets into orbit around the earth, using this Law, he can accurately predict what forces the fuel must exert on the rocket in order to get the rocket into a certain orbit. When Newton's Law of Gravitation is applied to planetary motions, the theoretically predicted motions agree with the observed motions to within seconds of arc per century.
Einstein developed a new theory for describing gravity, which is called the "General Theory of Relativity," which brings predictions even closer to observations than Newton's Law did. There are, however, still some slight,
unaccounted for, deviations between theoretical predictions and observations.
Clairvoyants are able to give some added information on the subject of gravity. The clairvoyant, Max Heindel, tells us (see The Rosicrucian Cosmo-Conception.) that "When laggards inhabiting a Moon have retrieved their position and returned to the parent planet; or, when continued retrogression has caused complete disintegration of their vehicles, the abandoned Moon also commences to dissolve....As time goes on, the power of attraction exercised by the parent planet diminishes, its orbit widens, until it reaches the limit of our solar system. It is then expelled into interstellar space; and dissolved in Chaos."
Scientists have not noticed any substantial decline in the gravitational force of a planet on its moon, but this may be because they have not studied in detail any moon in the process of being released, or because the effect was too small or spread over too long a time to be noticeable.
In Psalms 75:3, Jehovah is quoted as saying, "When the earth totters, and all its inhabitants, it is I who keep steady its pillars." Max Heindel further states (see "Questions and Answers," Vol. II) that "Up to 2,000 years ago Jehovah had charge and guided our earth from without....Thus the Earth was held in orbit by His power. However at the change made on Golgotha the Christ Spirit drew into our earth in order that He might aid us....The Christ is now guiding the earth in its orbit from within, and will continue until we have learned to vibrate to that attribute, love, whereby we shall be able to apply the power to our own planet and thus guide it in its orbit from within."
Scientists have noticed small deviations from the Laws of Gravitation of Newton and Einstein. It is possible that the steadying influence of Christ has been responsible for these small deviations. It is also possible that the influence of Christ is needed in order for the Earth simply to obey the Laws. The Laws were formulated during his "reign," and we don't know what the Laws would be if Christ were not guiding the Earth and other planets. Without Christ, materialistic attitudes and thoughts perhaps could increase the mass of the Earth, which could make the Earth slow down in its orbit (in order to conserve angular momentum), which could cause the earth to go into a smaller orbit. It may be Christ's influence that helps hold the mass of the Earth constant, and thence keeps the Earth from moving toward the Sun.
References
— Heindel, Max, Questions and Answers, Vol. II, Oceanside, California, The Rosicrucian Fellowship, 1922
— Heindel, Max, The Rosicrucian Cosmo-Conception, Oceanside, California, The Rosicrucian Fellowship, 1973
Material scientists have observed that as the Sun shines it heats some parts of the Earth more than others. As the Earth radiates its warmth to the air above it, some parts of the air become warmer than other parts. The warm patches of air are light and rise, the cool patches of air are heavy and fall, and a surface wind is created that blows from the high-pressure region (where the cool air fell) to the low-pressure region (where the warm air rose). As the winds blow, the rotation of the Earth also influences their motion. Warm winds may pick up moisture from damp regions of the Earth and carry this moisture until they cool down to such an extent that the can no longer carry the moisture. Then they release is as rain, snow, or some other form of precipitation. Based on these basic principles, plus observed data as to current weather conditions, scientists are able to make forecasts about future weather conditions. At present the accuracy of weather forecasts is quite limited.
Clairvoyants can give some added insight into the causes of weather patterns. The clairvoyant can see the inside of the Earth and the spiritual forces there that are influenced by the moral development of men and which in turn influence natural occurrences on Earth, such as weather, earthquakes, and volcanoes. Max Heindel notes (in The Rosicrucian Cosmo-Conception) that these forces can be clairvoyantly seen in the seventh layer of the earth, and that:
"In the beginning of the conscious career of man (these forces) were much worse than at present. But it appears that as humanity progresses in morals, these forces improve correspondingly; also that any lapse in morals has a tendency to unleash these nature forces and causes them to create havoc upon the Earth; while the striving for higher ideals makes them less inimical to man,...From the occult point of view, the "Hand of God" which smites a Sodom or a Gomorrah is not a foolish superstition, for as surely as there is individual responsibility to the Law of Consequence which brings to each person the just results of his deeds whether for good or evil, so is there also community and national responsibility, which brings upon groups of men corresponding results for their collective acts. Nature forces are the general agents of such retributive justice...."
One may ask if the views of the material scientist and the clairvoyant are compatible, as they each see weather patterns as arising from different causes. To answer this question, we may consider the following story (from Max Heindel, The Rosicrucian Cosmo-Conception): "We see two men conversing on the street and one suddenly strikes the other, knocking him down. One observer may say that an angry thought knocked the man down. Another may scoff at this answer and declare that he saw the arm lifted, the muscles contract, the arm shooting out and coming in contact with the victim, who was knocked down. That is also true, but it is safe to say that had there not first been the angry thought, the blow would not have been
struck."
For weather patterns, the morality of people on Earth may act as a cause that influences the way in which the various parts of the air warm up or cool down, or gain or lose moisture, and that thereby influences weather patterns. Emotions such as hate, gloom, and fear can influence the flow of vital forces and blood within the human body, and can lead to disease. A similar thing may happen on a larger scale when a group of people engage in such feelings. They may thus influence the flow of energies through the Earth's atmosphere and thus may influence weather.
Another cause of weather patterns that the clairvoyant sees is astrological forces. These energize the thoughts and feelings of men (either
harmoniously or disharmoniously), which in turn influence the flow of energies in the atmosphere, which in turn produce weather.
Above all these things stand the Recording Angels. They see all and know every person's evolutionary needs. They arrange the timing and location of all natural events and the paths of people so that each and every one encounters exactly what he needs for his development.
In Mark 4:35-41 is told the story of one time when Christ and his disciples in a boat were caught in a great storm and the boat was filling with water. But when Christ commanded, "Peace, be still!" the wind ceased, and there was a great calm. It is reasonable that just as disharmonious thoughts and feelings (such as those that Christ radiated) can bring calm.
The next time that we encounter violent weather or other inimical natural occurrences, we would do well to lift our hearts and minds to God. or better yet, if we can keep our hearts and minds lifted to God and can influence those around us to do likewise, we may help calm the winds of this troubled Earth.
Reference
— Heindel, Max, The Rosicrucian Cosmo-Conception, Oceanside, California, The Rosicrucian Fellowship, 1973
A scientific law is a statement of an observed pattern of behavior of the world. Sometimes it is found that certain laws are only valid under certain
conditions. Thus, some laws may be valid only at low temperatures, others may be valid at high temperatures. Some may be valid only for macroscopic objects, others may apply to microscopic objects. But under the same conditions, the world generally behaves in the same way at all times. A miracle may be defined as an event that is either highly improbable or
impossible according to known laws. In the Bible, many miracles are described. How can these be fit into the scientific world-view (In the present day also, miracles are occasionally testified by reliably witnesses to have occurred. The same arguments that we will apply to biblical miracles
can also be applied to current miracles.)
Some biblical miracles are allegories and are not meant to be taken as records of scientific observations. The story of Eve and Adam being tempted by a talking serpent, eating some fruit and becoming wise (Genesis 3) is an allegory that describes how the Lucifer Spirits (serpent) drew the awareness of humanity (Adam and Eve) to his dense body and to his ability to make decisions as to what he would or would not do. The story of Lot's wife looking back and turning into a pillar of salt (Genesis 19:26) is an allegory that points out that if people cling to old ways of doing things, their lives will become crystallized and no more progress can be made. The story of Samson, who had miraculous strength when his hair was long, but lost his strength when his hair was cut (Judges 16), is an allegorical representation ofthe sun, which gains power when its rays grow in spring and summer, but loses power when its rays lessen in the fall and winter. The story of Jonah's running away to sea to avoid having to do the task that God assigned to him, being thrown overboard and being swallowed by a whale, and being released (unharmed) from the belly of the whale and again asked to do the same task, is an allegory that shows that if a person commits suicide in order to escape from certain problems, those same problems will again confront him when he is reborn. The story that states that Jesus was born of a Virgin is an allegorical representation of the fact that Mary and Joseph, although they had intercourse, did so without passion, maintaining a pure and holy mental state. Because these stories are allegories, there is no need to explain the miracles that occur in them, any more than there is a need to explain how Cinderella's fairy godmother could turn a pumpkin into a coach.
Some biblical miracles do not actually contradict known scientific laws, but appear remarkable because of their timing. Known scientific law would allow that a strong wind could push back a sea, but the fact that the Red Sea was thus pushed back just when the Israelites wanted to cross and then immediately flowed back again (Exodus 14:21-31) is remarkable in its timing. Known scientific law would allow that lightning, storms, earthquakes, droughts, plagues, or other "natural" disasters can occur, and that people who have been sick sometimes recover, but it is remarkable that plagues struck Egypt when Pharaoh refused to let the Israelites go (Exodus 7-12); that the earth opened up and swallowed the tents of Korah and the others who had rebelled against Moses, but none of the faithful Israelites were hurt (Numbers 16); that the Philistines were struck with tumors while they kept the Ark of the Covenant (1 Samuel 5); that when the Philistines yoked cows to a cart carrying the Ark, the cows headed straight toward the land of the Israelites (1 Samuel 6); that Uzzah fell dead immediately after touching the Ark (2 Samuel 6:7); that fire from heaven consumed an offering that Elijah had set up (1 Kings 18:38); that Gehazi was struck with leprosy when he took payment from Naaman after Elisha had cured Naaman from leprosy (2 Kings 5); and that many people were healed when they touched Christ's garment, or when Christ touched them. These miracles indicate that God (or higher spiritual beings in general) often work in accordance with physical laws. If something needs to be destroyed or some people need to be punished, the easiest or most convenient way for God to accomplish it may be to release those energy currents that set the physical cause-effect chains in motion.
Some miracles do appear to contradict known scientific laws. One reason for this contradiction may be that conditions have changed, making the current patterns of action different from the previous. In Genesis 5-9 are listed seven persons (Adam, Seth, Enosh, Kenan, Jared, Methuselah, and Noah) who all lived to be over nine hundred years old. Clairvoyant investigation shows that in those days physical bodies were just as subject to aging as they are today, but in those days a father was able to pass his memories on to his descendants and thus the father "lived in memory" in the descendants for a number of generations. Because the condition needed for passing this memory on (namely, intermarriage within a small tribe of family, see The Rosicrucian Cosmo-Conception) are no longer present, such lengthy lives are no longer observed.
Another reason why miracles may contradict known scientific laws may be that some unknown law may be in operation. Clairvoyants, who can see in the spiritual worlds and thus can see the patterns of operation of these worlds and how these "higher worlds" influence the physical world, can extend the range of known laws so that what before appeared miraculous then becomes understood. Clairvoyants see that in the higher worlds the past and the future exist simultaneously with the present. Thus they can understand how prophets could foresee the future, or how someone's consciousness could stay at a given time or move backward in time to make the Sun and Moon appear to stand still (Joshua 10:11-14) or to make the shadow of the Sun appear to go back ten degrees on a sundial (2 Kings 20:9-11). Clairvoyants can project their consciousness so that they can see things that are not in the line of sight of their physical eyes. Thus they can understand how Elisha knew that Gehazi had received (undeserved) payment from Naaman (2 Kings 5:26); and how Christ could tell the Samaritan woman at the well all about her family (John 4:17-19) and could tell Nathanael that he had previously been sitting under a fig tree (John 1:47-50) and could tell his disciples where to place their nets to get them full of fish (John 21:4-14).
In the spiritual worlds, the clairvoyant can see the archetypes according to which all forms are built and the various vibration patterns that bring into being the various types of materials on earth (see Ancient and Modern Initiation). Thus he sees how vibration patterns can be modified so that stones can be turned into bread or water into wine or food can be created out of air. He can then understand how manna could appear out of "nowhere" (Exodus 16:14-35); how the widow's oil and meal could be continuously replenished (1 Kings 17:14-16), how Christ could turn water into wine (John 2:1-11); and how Christ, starting with seven loaves and a few small fish, was able to feed four thousand men, besides women and children (Matthew 15:32-38). When the archetype is mentally held together even in the presence of fire, then one can walk in fire without being burned, as did Shadrach, Meshach and Abednego (Daniel 3:19-27). When an archetype of a human body has lost its vibration energy, the person dies. The clairvoyant can see how a run-down archetype can be re-energized and how the departed spirit can then return to the body and thus the dead can be brought back to life. Thus the raising from the dead of the widow's son by Elijah (1 Kings 17:17-24), of the Shunammite's son by Elisha (2 Kings 4:18-37), and of the widow's son by Christ (Luke 7:11-17) become understandable.
As men make more and more observations (both physically and clairvoyantly), and from these gain more and more understanding of the laws according to which the universe operates, they find that phenomena that they previously considered to be miracles now appear to be working out of laws. Each new set of observations, however, also brings in new unexplained phenomena, and thus drives the scientist to seek further explanations. It is an occult maxim that, "Veil upon veil will lift, but there is veil upon veil
behind."
References
— Heindel, Max, Ancient and Modern Initiation, Oceanside, California, The Rosicrucian Fellowship, 1931
— Heindel, Max, The Rosicrucian Cosmo-Conception, Oceanside, California, The Rosicrucian Fellowship, 1973
Material scientists observe that when several forces are present, maximum effect is obtained if all the forces push in the same direction. When molecules of air fly randomly in all directions, they exert no observable forces on objects. But if a substantial fraction are moving in a given direction (as occurs when the wind blows, or when a fan or propeller of an airplane sets air in motion, or when a jet engine is operating), the air cannot only move small things about but may blow down trees and houses, and lift airplanes into the air. Every atom in a piece of iron is a small magnet, but the iron cannot exert any noticeable forces on other pieces of iron until a substantial fraction of the individual atomic magnets are aligned so that their north poles point in the same direction.
Material scientists observe that when forces are drawn together and not allowed to scatter, increased strength is obtained. It is much easier to drive a nail point-first into wood than to drive the nail in head-first, because with the point on the wood, all the driving force is concentrated on a small location and thence entry into the wood is obtained. When a river flows in a wide bed, the current is gentle, but when the channel narrows, the current becomes strong. When steam is allowed to escape in all directions from a cooking pot, the steam has little force, but if the steam is channeled into a single narrow pipe, it is capable of exerting tremendous pressure. Near the Sun the light and heat from the Sun are very intense, but the farther one goes from the Sun, the more the rays spread out and the less intense the radiations become. Thus the planets closer to the Sun get more heat from the Sun than the planets farther from the Sun. The rays of the Sun spread over the surface of the Earth produce only moderate warming, but if a lens or concave mirror is used to make the rays converge, the rays can be used to start a fire or to bake food.
Material scientists also observe that the longer a force is applied, the more effect is has. When a baseball is being batted, the longer the bat can be kept in contact with and pushing on the ball, the farther the ball will go.
Thus, in the material world, the three basic ways of increasing power are:
1) Align the forces so they all push in the same direction.
2) Do not allow the forces to scatter and concentrate them on a point.
3) Extend the time over which the forces act.
The Hermetic axiom states, "As above, so below." Corresponding to each method of increasing power in the material world is an analogous method for increasing spiritual powers. Let us consider some spiritual applications of each of the above three methods.
1) Alignment of forces so they all push in the same direction: If we would develop spiritual powers, we must live our lives so that every action leads toward this goal. We must avoid actions that lead us away from this goal — such as drinking alcohol, taking drugs for pleasure, smoking, eating meat, and degenerating of the creative force. We must also avoid actions, which, although not leading us away, do not lead us toward the goal — such as wasting time and energy gathering and caring for material possessions that we have no real use for, reading books and viewing shows that are not uplifting, seeking knowledge for which we have no use, and talking about trivia that no one will benefit by hearing. We must fill our waking hours with those activities that lead toward the development of spiritual powers — such as doing the spiritual exercises of Concentration and Retrospection gathering knowledge that will aid us in perfecting our own being and in serving humanity, doing loving self-forgetting service to others, saying that which can help others, etc.
We must not allow our minds to waver between "I can" and "I can't" "I will" and "I won't" "I want" and "I don't want," etc. If we would obtain spiritual power, we must decide what needs to be done, convince ourselves that we can do it, resolve to do it, and then let nothing (other than realization that the resolution was in error) hinder us from doing it.
2) Not allowing forces to scatter and concentrating them on a point: The constant barrage of sense impressions that come to us during our waking hours tends to defocus our minds (as they are diverted from one sense
impression to another) and scatter our spiritual powers. Some sense stimuli we may try to avoid. One can try to stay away from loud, disharmonious noise and one may try to take care of the dense body so that it does not feel discomfort. It is generally not possible, however, to remove all disturbances. Thus we ultimately need to train our mind to ignore to refuse to receive those impressions that are of no use to it, and to concentrate its full attention on those impressions that are of use or on its own inner activity.
We need to learn to focus our mind on one thing at a time. If we are observing some object, we should for a few moments focus all our attention on that object and observe all its details accurately. if we are listening to someone, we should focus all our attention on him and block everything else out of our mind. If we are thinking about some subject, we should not let our mind wander onto other subjects until we consciously give it permission to do so.
3) Extend the time over which the forces act: If some goal is not attained in one minute, work on it two minutes. If a goal is not attained in one
hour, work on it two hours. If a goal is not attained in one year, work on it two years, or twenty years or a lifetime. If a goal is not attained in a lifetime, continue working on it in the next lifetime. The more time one spends directing one's efforts in a given direction, the more spiritual
power is built up, and eventually the power will be sufficient to accomplish its object. Anyone can do anything if he works at it long enough and hard enough.
When the material scientist uses his knowledge of how to increase power, he can do such things as make roads through mountains, and build skyscrapers and bridges. he can make heavy rockets lift into the air, fly faster than sound, and even fly to the moon. When the spiritual scientist uses his knowledge of how to increase spiritual power, he will be able to speak to others by means of thoughts, to heal the sick, and to create by means of the spoken word.
This web page has been edited and/or excerpted from reference material, has been modified from its original version, and is in conformance with the web host's Members Terms & Conditions. This website is offered to the public by students of The Rosicrucian Teachings, and has no official affiliation with any organization.